24小时服务热线:19103801095
NEWS CENTER
Recommend case
contact us
本指导原则旨在指导注册申请人对全自动血型分析仪注册申报资料的准备及撰写,同时也为技术审评部门审评注册申报资料提供参考。

本指导原则是对全自动血型分析仪的一般要求,申请人应依据产品的具体特性确定其中内容是否适用,若不适用,需具体阐述理由及相应的科学依据,并依据产品的具体特性对注册申报资料的内容进行充实和细化。
本指导原则是供申请人和审查人员使用的指导文件,不涉及注册审批等行政事项,亦不作为法规强制执行,如有能够满足法规要求的其他方法,也可以采用,但应提供详细的研究资料和验证资料。应在遵循相关法规的前提下使用本指导原则。
本指导原则是在现行法规、标准体系及当前认知水平下制定的,随着法规、标准体系的不断完善和科学技术的不断发展,本指导原则相关内容也将适时进行调整。
一、适用范围
基于血型分析主要反应为凝集法的特点,从反应载体角度,可将血型分析方法主要分为载片法、试管法、微孔板法和柱凝集法四种。全自动血型分析仪是以血型分析的主要方法为基础,对不同反应载体技术进行自动化设计,目前常见的全自动血型分析仪的工作原理主要包括试管法、微孔板法和柱凝集法三大类。
本指导原则适用于采用试管法、微孔板法或柱凝集法对人体血液样本进行血型鉴定、不规则抗体筛选、交叉配血等试验的全自动血型分析仪。对基于其他技术的全自动血型分析仪产品,可参照本指导原则相关适用条款准备注册申报资料。对于血型分析只是其适用范围某一部分的临床分析仪器,如全自动血库系统,应当参照本指导原则准备血型分析部分的相关注册申报资料。
二、注册审查要点
(一)监管信息
1.产品名称
产品名称应符合《医疗器械通用名称命名规则》及有关规定。
申请人可结合申报产品的特征,直接选用《医疗器械分类目录》品名举例中的适用名称;也可根据医疗器械命名原则,参考《医疗器械分类目录》中的品名举例确定命名,并详细描述确定依据。可命名为如血型分析仪、全自动血型分析仪、全自动配血及血型分析仪等。
2.管理类别和分类编码
产品按第Ⅲ类医疗器械管理,该产品属于《医疗器械分类目录》中22临床检验器械目录下01血液学分析设备项下01血型分析仪器。
3.注册单元划分
参照《医疗器械注册单元划分指导原则》中有源医疗器械注册单元划分的基本原则进行划分。
(1)注册单元划分
原则上同一注册单元全自动血型分析仪的技术原理、结构组成、性能指标和适用范围应基本一致,单一功能部件数量不同导致样本处理量存在差异的产品可以作为同一注册单元。但具有下列任一情况的产品,应划分为不同的注册单元:
不同工作原理的产品,如基于试管法、微孔板法、柱凝集法的产品,应划分为不同的注册单元。
工作原理相同,适用范围基本相同,但因产品主要设计结构的不同对安全性有效性有显著影响的产品,无论产品在样本处理速度、样本处理量、分析性能指标等方面是否存在差异,应划分为不同的注册单元。
(2)型号规格
对于同一注册单元申报产品存在多种型号规格的,应当提供各型号规格的划分说明,写明各型号规格之间的区别,应当采用表格加说明性文字的图片、图表,对各型号规格的结构组成、主要功能、性能指标等内容进行描述。
(二)综述资料
1.工作原理
申请人应当根据申报产品的设计要求按照反应步骤写明工作原理,重点对加样、机械传输、离心、孵育及检测模块进行描述,应采用文字加图示的方式对上述装置的工作原理和结构组成进行详细描述,对申报产品能够进行的试验项目进行描述,并写明申报产品区别于其他同类产品的特征(可以表格形式逐条进行描述)。
2.结构及组成
全自动血型分析仪的工作流程一般由加样模块、孵育模块、离心模块、检测模块、清洗模块、控制模块组成。加样模块主要包括样本装载和传输、加样装置、试剂装置。除离心机外,还可能是其他装置及原理用于红细胞聚集,可相应描述。检测模块,包括光源、照相机及检测器。清洗模块,包括液体容器、清洗管路、废液装置等。控制模块主要由计算机和软件组成。
申请人应当根据拟申报产品的具体特征详细描述各组成装置、各装置的具体组成部分以及各关键元器件的名称、型号、制造商及质控要求等,并详细描述申报产品的主要功能及各组成装置的功能,可以采用照片结合文字描述的形式给予明确说明。
3.适用范围
(1)适用范围
明确写明申报产品的预期用途,建议采用以下形式描述:“该产品采用xx法,与配套的检测试剂共同使用(如适用),在临床上用于对来源于人体的血液样本进行xx试验”。其中,xx法应写明申报产品的设计工作原理,如试管法、微孔板法、柱凝集法等;xx试验应当根据研究资料和临床评价资料的具体结果写明申报产品可以完成的试验类型,包括ABO/Rh血型鉴定、直接抗人球蛋白试验、不规则抗体筛选、交叉配血等。
明确写明应由经专业培训的具备操作能力的检验人员使用。
(2)预期使用环境
明确写明申报产品预期使用的地点,如医疗卫生机构检验科。
明确写明可能会影响申报产品安全性和有效性的环境条件,也即申报产品的正常工作条件,包括空间要求、温度、湿度、海拔高度、电源要求等,对每一条件均应给出具体的指标要求,如温度范围在5℃~30℃。
4.包装
概述产品包装信息及与该产品一起销售的配件包装信息,含配件清单。
(三)非临床资料
1.产品风险管理资料
申请人可参考GB/T 42062及YY/T 1437标准对产品进行全生命周期风险管理,提交风险管理资料。申请人应结合申报产品的设计特点、临床用途及使用场景,充分识别与安全有关的特征,进行风险分析、评价及控制。应确保各风险的可追溯性,提供各风险及综合剩余风险的可接受准则,确认各风险及综合剩余风险可接受。
产品的主要危害
全自动血型分析仪的主要危害大致可包括四个方面,即:能量危害、生物学和化学危害、操作危害、信息危害。
(1)能量危害
电磁能:漏电流,可能共同使用的设备(移动电话、离心机、生化分析仪等)对申报产品的电磁干扰,静电放电对申报产品产生的干扰,申报产品正常工作中产生的电磁场对可能共同使用的其他设备的影响等引发的危害。
坠落:坠落导致机械部件松动,导致测量错误、误差过大或显示异常。
(2)生物学和化学危害
生物学:公共场所未经清洗、消毒的与人体接触的部件引起的交叉感染、申报产品的原材料有毒有害对人体造成的危害、检测完成后剩余样本、试剂和废弃物处理不当引起的交叉感染。
化学:使用的清洁剂、消毒剂残留引发的危害。
(3)操作危害
不正确的测量:产品的检测装置超过寿命或长时间未经校准,导致误差过大。
未按使用说明书中的要求进行测量,造成的测量失败、测量误差过大。
使用不同厂家的或与分析仪不相匹配的试剂,造成的测量失败、测量误差过大。
在制造商规定的使用环境条件外使用产品,可能造成测量误差过大,产品寿命降低。
未按产品说明书的规定对申报产品进行保养、未按产品说明书的规定更换具有使用寿命的元器件,造成的产品工作不正常。
(4)信息危害
包括标记缺少或不正确,标记的位置不正确,不能被正确的识别,不能永久贴牢和清楚易认。
不符合法规及标准规定的产品说明书,包括产品说明书中未对限制充分告知,未对不正确的操作、与其他设备共同使用时易产生的危害进行警告,未正确标示储存条件、消毒方法、维护信息,未对因长期使用产生功能丧失而可能引发的危害进行警告,未对合理可预见的误用进行警告等引发的危害。
2.产品技术要求及检验报告
2.1产品技术要求
根据《医疗器械产品技术要求编写指导原则》的要求,产品技术要求应包含产品名称、型号/规格及其划分说明、性能指标、检验方法和术语(如适用)及附录。产品名称和产品型号/规格及其划分说明的内容应与综述资料中的相应内容保持一致。
性能指标包括功能性指标、安全性指标以及质量控制指标,其内容应与产品性能研究资料的内容一致。性能指标的制定应参考相关国家标准/行业标准并结合具体产品的设计特性、预期用途和质量控制水平且不应低于产品适用的强制性国家标准/行业标准要求。全自动血型分析仪适用于标准YY/T 1245 自动血型分析仪。
检验方法应优先考虑采用公认的或已颁布的标准检验方法,对于尚无公认的或已颁布的标准检验方法,需根据产品性能研究资料的内容一致,并保证该方法具有可重现性和可操作性。
安全性指标包括电气安全性能和电磁兼容性能,电气安全性能应符合GB 4793、GB/T 42125.1、GB/T 42125.2、YY/T0648的要求。电磁兼容性能应符合GB/T 18268.1、GB/T 18268.26的要求。
性能指标中还应明确软件组件和网络安全的要求。软件组件的性能指标包括功能、使用限制、接口、访问控制、运行环境、性能效率(若适用)等要求。其中,功能明确软件的全部核心功能(含安全功能)纲要,申报产品的软件功能一般包括参数设置、数据采集和数据分析、报告/数据生成与导出、用户管理等功能。软件组件的性能指标要求具体参照《医疗器械软件注册审查指导原则》执行。
附录为体外诊断及实验室设备基本安全特征,包括环境条件、设备的类别、电源、绝缘图和绝缘表。
2.2检验报告
检验报告可以是申请人出具的自检报告,也可以是委托有资质的医疗器械检验机构出具的检验报告。如提交自检报告,应符合《医疗器械注册自检管理规定》相关要求。
同一注册单元内所检验的产品应当能够代表本注册单元内其他产品的安全性和有效性的典型产品。应考虑产品适用范围、性能指标、安全指标、结构组成等,选择功能最全、结构最复杂、风险最高的产品。不同型号规格之间存在差异,典型型号的检验不能覆盖差异性的,应分别检验。
3.研究资料
根据申报产品适用范围和技术特征,提供非临床研究综述,逐项描述所开展的研究,概述研究方法和研究结论。
3.1产品性能研究
3.1.1产品性能研究资料
功能性指标研究资料:
申报产品各组成装置性能的研究资料:应根据综述资料中有关申报产品结构组成和各主要组成装置的情况进行,提供详细的研究资料,至少应包括对加样模块(原理、加样量、加样准确度、加样精密度)、离心机(转速、相对偏差、有效离心时间)、孵育模块(原理、温度范围、温度精度)、检测模块(原理、光源、图像采集装置)、机械传动装置(运动类型、精度)、适用的反应载体(微孔板、凝胶卡)的功能性指标或者装置中主要元器件功能性指标的研究资料。其中离心机要求适用于采用离心法实现红细胞聚集的设备。
申报产品临床项目分析性能的研究资料:建议申请人根据申报产品的工作原理,综合考虑申报产品预期设计可以完成的试验类型情况,对每一试验类型采用临床样本进行研究,并提供详细的研究资料。
3.2安全性指标的验证资料
安全性指标包括电气安全指标和电磁兼容指标两大类。电气安全指标应当包括GB 4793、GB/T 42125.1、YY/T0648及其他适用的国家标准和行业标准中的指标,电磁兼容指标应当包括GB/T 18268.1和GB/T 18268.26及其他适用的国家标准和行业标准中的指标。申请人应对上述项目进行研究,按照法规要求提交检测报告。
3.3环境条件对产品性能指标无显著影响的研究资料
环境条件对产品性能指标无显著影响的研究资料,主要包括气候环境条件、机械环境条件、运输条件等,可参考GB/T 14710及其他适用的国家标准和行业标准中的相关指标,申请人应对上述项目进行研究,或按照法规要求提交检测报告。
正常工作环境以产品标称为准,但需经相应环境试验验证。
3.4清洁/消毒工艺研究
明确采取的污染控制措施,包括仪器清洁与消毒工艺等,如管路清洗、紫外线消毒等。
4.有效期和包装研究
4.1产品包装研究
包装研究提交在宣称的有效期内以及运输储存条件下,保持包装完整性的依据。包括振动、跌落等试验。
4.2产品有效期研究
应当提供产品有效期的验证报告,报告中应对申报产品中包含的易耗、易损、需定期更换或者具有固定使用寿命的主要元器件的情况进行详细描述,详述确定产品使用期限或者失效期的具体理由,给出产品使用期限或者产品失效期。
5.软件研究
5.1提供自研软件研究报告,根据YY/T 0664的要求及产品预期的临床检测项目可能对患者造成的风险,确定申报产品随机软件的安全性级别,并按照确定的安全性级别提交随机软件描述文档。
考虑到全自动血型分析仪的检测结果在临床上是直接应用于患者血型鉴定或输血治疗的,软件功能直接决定了对反应载体中样本反应结果判读的正确与否,如因软件问题造成结果错误,会导致临床使用错误结果对患者进行后续治疗,进而对患者造成致命危险,因此建议全自动血型分析仪随机软件的安全性级别确定为严重级别。
申请人应当按照安全性级别为严重级别的要求提交随机软件研究报告,尤其是在核心算法部分,应对由反应载体得到的不同凝集强度数据结果进行阴、阳性判读标准依据和数学模型作详细描述。
有关软件研究资料的详细内容,建议按照《医疗器械软件注册申报资料指导原则》的要求进行编写。
5.2提供网络安全描述文档,明确申报产品相关的数据类型、数据交换方式、数据导出格式、功能/用途、运行环境等,从保密性、完整性、可得性等方面对申报产品的网络安全性进行风险管理和测试验证,明确网络安全的维护方式等以保证产品安全有效。建议按照《医疗器械网络安全注册技术审查指导原则》要求提交网络安全文档。
(四)生产制造信息
1.生产工艺过程及过程控制点
建议根据申报产品的实际情况,以流程图的形式对生产工艺过程进行详细描述,并根据流程图逐一描述其中的过程控制点。
2.生产场地
申请人应当对与申报产品有关的研制场地和生产场地情况进行概述。
如申报产品具有多个研制、生产场地,则对每一研制、生产场地的情况均应进行概述。
(五)临床评价资料
申请人应当按照《医疗器械临床评价技术指导原则》的要求提交临床评价资料,由于目前全自动血型分析仪尚未列入免于临床评价医疗器械产品目录,因此申请人应当选择通过同品种医疗器械临床试验或临床使用获得的数据进行分析评价,或者临床试验这两种评价路径中适用的任一方式,提交相应的临床评价资料。
通过同品种医疗器械临床试验或临床使用获得的数据进行分析评价方式取得临床评价资料的具体要求详见附1,通过临床试验方式取得临床评价资料的具体要求详见附2。
对于具有下列情形之一的产品,通过同品种医疗器械临床试验或临床使用获得的数据进行分析评价无法充分证明产品安全性、有效性的,应当进行临床试验,包括:
1.产品采用新的工作原理和结构设计,属于创新型设备,国内市场上没有与之类似的已批准上市产品。
2.增加产品的临床适用范围,在原有功能的基础上整合了新的血型相关试验功能,且该功能从未在境内获得批准。
3.申请人缺乏全自动血型分析仪相关临床数据和试验经验的。
(六)产品说明书和最小销售单元的标签样稿
1.产品说明书
产品说明书应当符合《医疗器械说明书和标签管理规定》的要求,至少包括以下内容:
(1)产品名称、型号、规格;
(2)注册人的名称、住所、联系方式及售后服务单位,进口产品还应当载明代理人的名称、住所及联系方式;
(3)生产企业的名称、住所、生产地址、联系方式及生产许可证编号,委托生产的还应当标注受托企业的名称、住所、生产地址、生产许可证编号;
(4)医疗器械注册证编号;
(5)产品技术要求的编号;
(6)产品性能、主要结构组成、适用范围:
①主要结构组成
建议以实物照片/示意图加文字的形式对申报产品的整体结构进行描述,标明各主要模块的名称(应包含软件组件,并注明软件组件的名称、型号规格和发布版本)。
建议以实物照片/透视图/俯视图/剖面图加文字的形式对各主要模块逐一进行描述,标明每一主要模块的主要组成结构和主要元器件的名称,对于重要元器件或功能零部件,建议单独进行描述。
建议对软件的全部功能进行描述,重点对用户界面的整体情况、各功能窗口涉及的操作功能、通讯接口及协议进行介绍。
结构及组成描述举例:“该产品主要由样本装载和传输装置、加样装置、试剂装置、孵育装置、离心机、液体容器、检测器、清洗装置……和软件(发布版本号:×××)组成”。
②适用范围
建议采用以下形式进行描述:“该产品采用××法,与配套的检测试剂共同使用(如适用),在临床上用于对来源于人体血液样本进行×××试验”。
③工作原理
建议对申报产品采用的工作原理进行详细描述。
建议以图示加文字的形式对申报产品适用的每种试验类型进行分步骤详细介绍,每步骤的图示中均应体现出该步骤状态下反应载体内红细胞的对应状态。
④性能指标
建议至少写明以下内容:产品尺寸、重量、储存条件(温度、湿度)、正常工作条件(温度、湿度、海拔高度、电源要求、瞬态过压类别、污染等级)、电磁兼容信息(分组、分类)、分析通量、试剂位数量、样品位数量、适用的反应载体类型(试管、微孔板、柱凝集卡的尺寸和类型)、各装置的主要性能指标(加样装置的加样量、加样准确性、加样精密度、携带污染率、离心机转速及相对偏差、恒温反应装置的温度范围及温度精度、检测光源、图像获取设备、结果判定装置、机械传动装置精度等)、控制和显示模块的信息、产品主要功能等。
(7)注意事项、警示以及提示的内容;
(8)安装和使用说明或者图示:
建议以申报产品安装调试完毕可开始正常工作作为初始状态介绍具体的操作方法,详细描述校准、质控、检测设计(样本排布、试剂选择、检测程序等)、结果传输和打印等每一步骤的详细操作方式,主要是在用户界面上如何操作应有详细的文字及图示描述。
(9)产品维护和保养方法,特殊储存、运输条件、方法:
①维护和保养
建议以文字加图示的方式对使用者能够进行的维护保养措施,包括每日维护(如非工作时间液路系统的维护方法、废液桶更换方法)、每周维护(如水容器和水瓶的清洁方法)、每月维护(如清洗试剂探针的方法)、重点零部件维护(如样本架的维护保养方法)的具体内容进行详细描述。
②故障排除
建议以列表方式对申报产品正常使用过程中可能出现的可由使用者自行排除的故障进行详细描述,应当至少写明故障的表现、可能原因、建议的处理方式。
建议在列明可由使用者自行排除的故障基础上,加注以下内容:当仪器出现故障,但显示的错误代码不在上表内,应立即停止操作,并联系客服工程师。
(10)生产日期,使用期限或者失效日期:
注明产品的生产日期,使用期限或者失效日期。使用期限或者失效日期应当根据产品有效期研究资料的内容写明具体日期,并注明确定依据。
(11)配件清单,包括配件(适用的反应载体的规格、适用的样本管的规格、样本架情况、急诊样本情况、条码类型)、附属品及损耗品,应写明每一配件的名称、更换周期以及更换方法的说明等;
(12)产品标签所用的图形、符号、缩写等内容的解释;
(13)说明书的编制或者修订日期;
上述各项目均应当包含在产品说明书中,但其中的详细内容可能因申请人和申报产品的不同而有所区别,或者某些项目的详细内容可能记载于其他文件(如维修保养手册)中,此种情况下,申请人应当在提交产品说明书时另附文件予以说明。
产品说明书的内容均应有明确的来源,与综述资料、研究资料等注册申报资料的内容保持一致。进口产品的原文说明书如缺少上述项目中的某些内容,应当在产品中文说明书中予以增加,涉及技术内容且前述注册申报资料中未包含的,建议提交相应验证资料。
2.最小销售单元的标签样稿
全自动血型分析仪的标签样稿应当符合《医疗器械说明书和标签管理规定》的要求,其内容应当至少包括第十三条规定的所有适用内容。如随着工艺改进导致分析仪体积变小,而标签样稿中无法标明所有内容时,可按第十三条最后一段的要求提交最小销售单元的标签样稿。
三、参考文献
[1]国家市场监督管理总局.体外诊断试剂注册与备案管理办法:国家市场监督管理总局令第48号[Z].
[2]国家市场监督管理总局.关于公布体外诊断试剂注册申报资料要求和批准证明文件格式的公告:国家药品监督管理局公告2021年第122号[Z].
[3]国家药品监督管理局.体外诊断试剂临床试验技术指导原则:国家药品监督管理局2021年第72号[Z].
[4]樊绮诗、钱士匀,《临床检验仪器与技术》,人民卫生出版社,2015年3月.
[5]胡丽华,《临床输血学检验技术》,人民卫生出版社,2015年3月.
[6]胡丽华,《临床输血学检验》,第3版,人民卫生出版社,2012年1月.
[7]成琪、刘秀玉、陈林、刘丽霞,单组临床试验目标值法的精确样本含量估计及统计推断,中国临床药理学与治疗学,2011年5月第16卷第5期.
[8]唐欣然、黄耀华、王杨、李卫,单组目标值试验样本量计算方法的比较研究,中华疾病控制杂志,2013年11月第17卷第11期.
附件:1.全自动血型分析仪同品种对比临床评价要求
2.全自动血型分析仪临床试验要求
附1 全自动血型分析仪同品种对比临床评价要求
一、基本原则
应符合《医疗器械临床评价技术指导原则》和《医疗器械临床评价等同性论证技术指导原则》等的相关规定。
二、同品种全自动血型分析仪判定
(一)同品种全自动血型分析仪
同品种全自动血型分析仪应与拟申报产品工作原理、结果判读方法相同。
(二)同品种全自动血型分析仪的判定
申请人需将拟申报产品与一个或多个同品种产品进行对比,证明二者之间是否基本等同。
与每一个同品种产品进行对比的项目均应包括但不限于附表1列举的项目,对比内容包括定性和定量数据、验证和确认结果,特别要注意备注中的内容,应详述二者的相同性和差异性,对差异性是否对产品的安全有效性产生不利影响,应通过拟申报产品自身的数据进行验证和/或确认。
三、申报产品与对比器械的等同性论证
根据《医疗器械临床评价技术指导原则》中规定的评价路径要求,拟申报产品与对比产品关系如为同品种产品时,需对两者之间的差异是否对产品安全性、有效性产生不利影响进行进一步评价。不同情形评价关系所需提交的支持性资料不尽相同,具体内容见表1,表1给出的具体情况举例可能不能涵盖所有情况,申请人应根据拟申报产品的具体情况进行列举和判定,并给出判定的具体理由。
表1 拟申报产品与对比产品关系及需提交资料类型表
|
拟申报产品与对比产品关系 |
拟申报产品与对比产品差异类型 |
具体情况举例 |
需提交 资料类型 |
|
属于同品种 |
存在差异,但差异未产生不利影响 |
1.拟申报产品适用范围少于对比产品。 2.拟申报产品反应载体类型与对比产品一致,但反应位具体情况不一致。如:微孔板法,微孔板孔型不同。 3.拟申报产品恒温反应装置的性能与对比产品不一致。 4.拟申报产品离心装置的性能与对比产品不一致。 5.拟申报产品加样装置的性能与对比产品不一致。 6.拟申报产品机械传动装置的性能与对比产品不一致。 7.拟申报产品图像获取装置的原理与对比产品不一致。 |
非临床研究、和/或临床文献数据、和/或临床经验数据 |
|
存在差异,但差异产生不利影响 |
1.拟申报产品适用范围多于对比产品。 2.拟申报产品软件组件的主要功能、核心算法(基本原理相同,数学模型不同)与对比产品不一致。 |
针对差异的临床试验资料 |
|
|
不属于同品种 |
拟申报产品的工作原理与对比产品不相同。 如:基于试管法、微孔板法、柱凝集法的产品。 2.拟申报产品的检测原理和判读方法与对比产品不相同。 如:基于图像采集和透射光原理的产品。 |
针对产品的临床试验资料 |
四、证明拟申报产品与同品种全自动血型分析仪的差异对产品的安全性、有效性未产生不利影响的支持性资料(非临床研究、临床文献数据、临床经验数据等)
(一)概述
支持性资料中应明确说明拟申报产品与同品种全自动血型分析仪的差异;详细说明针对拟申报产品与同品种全自动血型分析仪的差异进行的研究方式及研究结果,提供的研究证据应证明拟申报产品与同品种全自动血型分析仪的差异对产品临床使用的安全性和有效性带来的收益/影响。拟申报产品与同品种全自动血型分析仪常见主要差异示例见附表2,其中列出了不同单一差异对应的需提交资料类型。
1.申请人应当完整地列出拟申报产品与
同品种全自动血型分析仪的所有差异点,并说明这些差异点的相互关系。若不同差异点之间存在相关性或相互影响,则应提供单个差异点影响的研究证据和关联性差异点共存时影响的研究证据。
2.申请人应当根据拟申报产品与同品种全自动血型分析仪的具体差异点提供相应的支持性资料,资料的类型和数量应根据拟申报产品和对比产品的差异点对产品安全性、有效性的影响进行确定。
(二)针对差异性的非临床研究资料
根据拟申报产品与同品种产品的差异性分析,申请人应当针对各差异点分别列出所进行的非临床研究的内容和结果,包括但不仅限于注册检验报告、自测报告、内部研究资料或验证报告等。
(三)其他支持性资料
支持性资料为临床文献数据时,申请人应根据拟申报产品与同品种产品的差异点,合理选择临床文献数据库,准确设置检索词,进行全面的科学文献检索,完成文献检索和筛选方案、文献检索和筛选报告。
支持性资料为临床经验数据时,在综合考虑、科学分析拟申报产品与同品种产品差异的基础上,可提供临床经验数据收集内容,包括对已完成的临床试验、不良事件、与临床风险相关的纠正措施等数据的收集。
全自动血型分析仪同品种产品通常存在附表2中所列的差异,基于拟申报产品和同品种全自动血型分析仪的对比结果,申请人应当对拟申报产品与对比产品的差异性及该差异对产品安全性和有效性的影响进行全面评估,如果非临床研究、临床文献数据、临床经验数据等无法充分地证明该差异对产品安全性和有效性的影响,则应提供相应的临床试验资料。
上述支持性资料、同品种医疗器械临床使用获得的数据的收集、同品种医疗器械临床数据分析评价方法、临床评价报告撰写等方面的具体内容可参照《医疗器械临床评价技术指导原则》的相关规定。
附表:1.拟申报产品与同品种全自动血型分析仪对比表
2.拟申报产品与同品种全自动血型分析仪常见主要差异示例
附表1 拟申报产品与同品种全自动血型分析仪对比表
|
序号 |
对比 项目 |
同品种产品 |
拟申报产品 |
差异性 |
支持性资料概述 |
备注 |
|
1 |
工作 原理 |
可能为试管法、微孔板法、柱凝集法等其中一种,拟申报产品和同品种产品的工作原理必须一致。 |
||||
|
2 |
结构组成 |
|||||
|
2.1 |
产品 组成 |
依据拟申报的产品组成对比。 |
||||
|
2.2 |
核心 部件 |
至少对加样装置、离心装置、恒温反应装置、机械传动装置、检测器进行对比。 |
||||
|
3 |
性能要求 |
|||||
|
3.1 |
性能 参数 |
依据附表2所定义的部件差异列举相关功能参数的对比表,相应差异应在不影响安全性和有效性的允许范围内。 |
||||
|
3.2 |
功能 参数 |
|||||
|
4 |
安全性评价 |
|||||
|
4.1 |
通用电气安全 |
|||||
|
4.2 |
专用 安全 |
|||||
|
4.3 |
电磁兼容 |
|||||
|
5 |
软件核心功能 |
需至少包括:自身状态监测、异常状态报警、异常结果报警、运行过程监测、样本及试剂正确识别、数据/图像备份、结果判读算法 |
||||
|
6 |
产品符合的国家/行业标准 |
|||||
|
7 |
适用范围 |
|||||
|
7.1 |
适用样本类型 |
|||||
|
7.2 |
可完成试验项目 |
|||||
|
7.3 |
使用环境 |
|||||
|
8 |
防范措施和警告 |
|||||
|
9 |
标签 |
|||||
|
10 |
产品说明书 |
|||||
附 表2 拟申报产品与同品种全自动血型分析仪
常见主要差异示例
(下表仅体现单一差异对应的需提交资料类型)
|
装置名称 |
指标 |
常见主要差异选项 |
需提交资料类型 |
|
加样装置 |
取样原理 |
微量注射器式、抽吸泵式、虹吸式等 |
非临床研究、和/或临床文献数据、和/或临床经验数据等 |
|
加样量 |
X样量 |
非临床研究、和/或临床文献数据、和/或临床经验数据等 |
|
|
加样准确度 |
X样准确度数据 |
非临床研究、和/或临床文献数据、和/或临床经验数据等 |
|
|
加样精密度 |
X样精密度数据 |
非临床研究、和/或临床文献数据、和/或临床经验数据等 |
|
|
异常检测功能 |
凝块、空吸、气泡检测等 |
非临床研究、和/或临床文献数据、和/或临床经验数据等 |
|
|
清洗功能 |
携带污染率 |
非临床研究、和/或临床文献数据、和/或临床经验数据等 |
|
|
离心装置 |
转速 |
Xg |
非临床研究、和/或临床文献数据、和/或临床经验数据等 |
|
转速偏差 |
Xg±g偏 |
非临床研究、和/或临床文献数据、和/或临床经验数据等 |
|
|
有效离心时间 |
Xs |
非临床研究、和/或临床文献数据、和/或临床经验数据等 |
|
|
恒温反应 装置(孵育舱) |
温控原理 |
金属板式、水浴式等 |
非临床研究、和/或临床文献数据、和/或临床经验数据等 |
|
温度控制范围 |
X℃~Y℃ |
非临床研究、和/或临床文献数据、和/或临床经验数据等 |
|
|
温度控制精度 |
X℃±度控,超温报警 |
非临床研究、和/或临床文献数据、和/或临床经验数据等 |
|
|
装置容量 |
X试管/试剂卡/微孔板 |
非临床研究、和/或临床文献数据、和/或临床经验数据等 |
|
|
机械传动 装置 |
传动装置类型 |
单臂、双臂 |
|
|
传动装置运动方向 |
双向、三向 |
非临床研究、和/或临床文献数据、和/或临床经验数据等 |
|
|
运动准确性 |
Xmm |
非临床研究、和/或临床文献数据、和/或临床经验数据等 |
|
|
反应载体 |
微孔板孔型 |
U型底、V型底 |
非临床研究、和/或临床文献数据、和/或临床经验数据等 |
|
试管、微柱卡 |
尺寸差异 |
非临床研究、和/或临床文献数据、和/或临床经验数据等 |
|
|
图像获取装置 |
光源 |
LED、卤素灯、钨灯等 |
非临床研究、和/或临床文献数据、和/或临床经验数据等 |
|
检测器 |
CCD照相机与CMOS、透射光检测器与光电倍增管(PMT)等 |
非临床研究、和/或临床文献数据、和/或临床经验数据等 |
|
|
软件 |
适用范围 |
拟申报产品少于同品种产品 |
非临床研究、和/或临床文献数据、和/或临床经验数据等 |
|
拟申报产品多于同品种产品 |
针对差异的临床试验资料 |
||
|
功能 |
是否可对异常结果报警等 |
针对差异的临床试验资料 |
|
|
核心算法 |
基本原理相同,数学模型不同 |
针对差异的临床试验资料 |
附2 全自动血型分析仪临床试验要求
一、基本原则
全自动血型分析仪临床试验的全过程应符合《医疗器械临床试验质量管理规范》的要求,临床试验方案、临床试验报告等文件应符合《关于实施〈医疗器械临床试验质量管理规范〉有关事项的通告》的要求。
本部分内容仅对临床试验过程中需要特别给予关注和考虑的要点给出原则要求,其余内容均应按照上述文件要求执行。
二、临床试验目的
评价拟申报全自动血型分析仪在正常使用条件下是否符合预期安全性和有效性。
三、临床试验方案
(一)基本要求
申请人应当选择按要求备案的临床试验机构开展临床试验,针对拟申报产品制定适用的临床试验方案。
(二)试验方法
应当至少对ABO血型正反定型,Rh血型检测(任选一种)、不规则抗体筛选、交叉配血项目进行临床试验。
根据拟申报产品的适用范围,申请人选择已在中国境内上市的同类可比的全自动血型分析仪作为对照产品进行比较研究,应提供对照产品的信息,如生产企业、型号、适用范围等。
对于申报产品和对照产品检测结果不一致的样本,可采用适宜的方法或结合受试者最终的血型鉴定结果等进行综合分析。
(三)受试者选择
1.符合拟验证试验的要求。
2.年龄分布应均衡合理。
3.性别分布应均衡合理。
4.充分考虑人种、地域差异对试验结果的影响。
(四)临床试验评价指标
1.主要评价指标:
拟申报产品和对照产品对同一受试者样本检测结果的符合率。
2.次要评价指标:
(1)仪器功能、稳定性
(2)仪器使用便捷性
(3)仪器使用安全性
(五)临床试验评价标准
1.对于拟申报产品适用范围内的每一试验项目,均应计算其与对照产品的检测结果的符合率。
2.仪器功能、稳定性、便捷性、安全性
(1)仪器功能、稳定性、便捷性
|
评判等级 |
满意 |
一般 |
不满意 |
|
|
功能 |
仪器运行状态监测 |
|||
|
异常状态报警 |
||||
|
异常定型结果提示 |
||||
|
运行过程追踪记录 |
||||
|
数据、图像备份功能 |
||||
|
样本、试剂正确识别 |
||||
|
稳定性 |
连续工作能力 |
|||
|
便捷性 |
试验参数设置 |
|||
|
操作界面友好性 |
||||
评价标准:
——功能评价
①仪器运行过程中能实时监测运行状态并自动对用户进行提示的,则认为满意;能实时监测运行状态,但对用户提示需人工操作的,则认为一般;若仅能在后台监测,无任何提示,则认为不满意。
②异常状态报警功能,如既在操作界面显示又在设备上有颜色及声音提示的,具有中止仪器运转功能的,则认为满意;如不具有中止仪器运转功能的,则认为一般;对异常状态不能即时提示的,则认为不满意。
③异常定型结果提示功能,如能即时如实记录异常定型结果样本号,又能以高亮等方式自动提示操作者,操作者可以手工确认的,则认为满意;如能即时提示操作者有异常定型结果,操作者手工无法确认的,则认为一般;如仅在后台记录异常定型结果,不能即时提示操作者的,则认为不满意。
④运行过程追踪记录功能,如运行过程能实时追踪并显示记录,则认为满意;如追踪记录需由操作者手动查看,则认为一般;如追踪记录仅能由客服工程师查看,则认为不满意。
⑤数据、图像备份功能,如数据、图像都能够完整长期保存,可方便地检索,则认为满意;如数据、图像记录都能够完整长期保存并检索,但检索过程繁琐,则认为一般;如数据、图像出现无故丢失或无法检索,则认为不满意。
⑥样本、反应载体、试剂正确识别功能,如对样本、反应载体、试剂能够正确识别,判定用量,并能够在界面上对其信息正确显示和报警的,则认为满意;如仅能正确识别,判定用量,但不显示相关信息和报警的,则认为一般;如出现不能够正确识别的,则认为不满意。
——稳定性评价
仪器在临床试验过程中可持续正常工作,则认为满意;仪器在试验中虽出现错误但可以迅速恢复,无不可恢复的错误发生,可24小时正常开机,则认为一般;如出现导致仪器不能正常使用的故障,则认为不满意。
——便捷性评价
①试验参数设置:操作者按照说明书内容可顺利完成试验参数设置的,则认为满意;若操作者按照说明书内容不能完成试验参数设置但软件能够提示并引导操作者完成相关工作的,则认为一般;若操作者按照说明书内容不能完成试验参数设置的,则认为不满意;
②操作界面友好性:操作界面功能清晰、各按钮及图表位置合理、能顺畅操作各项功能,使用中文的,则认为满意;若操作界面功能和位置基本合理,但未使用中文的,则认为一般;若操作界面功能不清晰、位置不合理,则认为不满意。
(2)仪器使用安全性
|
安全项目 |
安全 |
不安全 |
|
机械安全型 |
||
|
电气安全性 |
||
|
噪声安全性 |
||
|
生物安全性 |
||
|
其他 |
评价标准:
①机械安全性:如果整个临床试验过程中,没有运动部件意外动作、倾倒、零件脱落、机械断裂、撞击或挤压操作者的事件,则认为安全;否则认为不安全。
②电气安全性:如果整个临床试验过程中,没有发生漏电,则认为安全;否则认为不安全。
③噪声安全性:如果整个临床试验过程中,由仪器机械部件、离心装置带来的噪声未使操作者感到不可接受,则认为安全;否则认为不安全。
④生物安全性:废物提取便捷,且废物收集装置附近有明显生物安全标识的,则认为安全;否则认为不安全。
⑤其他:如果整个临床试验过程中,没有其他不可接受的不良事件,则认为安全;否则认为不安全。
以上所列临床试验评价指标仅为一般情况下的举例,申请人应根据拟申报产品的实际情况对指标进行增减。
3.试验人员要求
上述临床试验评价指标中,参与的研究者需符合《医疗器械临床试验质量管理规范》等法规的相应要求。
(六)临床试验样本量
本临床试验的主要评价指标为拟申报产品和对照产品/对照方法对同一受试者样本同一试验结果的符合率。即对每一例受试者样本同时应用拟申报产品与对照产品(含配套试剂)进行测量后所得结果进行符合率的评价。据此,全自动血型分析仪的临床试验,可采用目标值法的单组试验进行。
为了确保临床试验主要评价指标(拟申报产品和对照产品/对照方法对同一例受试者样本进行同一试验项目结果的符合率)达到显著的统计学意义,基于主要评价指标计算的临床试验例数必须符合统计学要求。
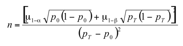
根据临床使用需求,拟申报产品和对照产品/对照方法对同一受试者样本同一试验项目结果的符合率不得低于97%(目标值P0),则:假设拟申报产品和对照产品/对照方法对同一受试者样本同一试验结果的符合率(PT)为99%、双侧统计学显著性水平(a)为0.05、检验效能(1-b)为80%时,试验至少需要432例受试者样本,考虑试验操作过程中可能的剔除率约10%,共需纳入475例受试者样本。估算的具体公式如下所示:

其中,a为检验水准,常取值为双侧5%或单侧2.5%;1-b为把握度,一般取值为80%;μ1-a和μ1-b为标准正态分布的分位数;PT为预期终点事件发生率,P0为预先指定的目标值。(注:按照以上方式计算得到的样本量为拟申报产品和对照产品/对照方法对同一受试者样本同一试验项目结果的符合率达到99%时的所需样本量,具体临床试验时,申请人应根据拟申报产品的特性计算所需样本量。但考虑到血型检测试验对准确性有较高要求,P0值不宜设置过低。)
基于上述估计,对于不同的试验项目,样本量及分布的具体要求如下:
1.血型鉴定:ABO、Rh血型鉴定,总样本量至少475例,ABO血型鉴定应同时进行正定型和反定型。其中AB型至少60例,如选择RhD阴性至少10例,正反定型不一致样本至少10例,每一受试者样本只能使用一次。
2.交叉配血:总样本量至少475组,应包含至少20组交叉配血不符的样本,每一受试供血者样本最多只能使用两次。
3.抗体筛选:总样本量至少475例,其中应包含至少60例抗体阳性样本,每一受试者样本只能使用一次。
在样本量可以满足试验要求,且不违反伦理学原则的前提下,同一受试者样本可同时进行上述三个类型的试验。对于除上述试验之外的其他试验项目,可参照上述原则估算样本量。
样本量的估算亦可采取其他方法,申请人应当在临床试验方案中明确写明所采用的方法,并说明具体原因。
(七)临床试验结果的统计学分析
建议采用R*C表格总结各对比试验项目结果,分别各型别的符合率和总符合率、Kappa值及其95%置信区间。
采用R*C表格统计各凝集强度符合率,并计算95%置信区间。针对凝集强度相差2+及以上的样本,建议结合受试者最终的血型鉴定结果或第三方同类试剂的检测结果等进行综合分析。对于临床样本中凝集强度小于3+的样本,应进行进一步确认,明确出现弱凝集的原因。如临床样本检测中出现双群现象,应进行进一步确认,明确出现双群现象的原因。
应按照法规要求提交临床试验数据表及数据库。临床试验数据表应列明所有病例的具体临床诊断信息、凝集强度和血型定型结果,如有不符样本应列明第三方确认的结果。
站点声明:
本网站所提供的信息仅供参考之用,并不代表本网赞同其观点,也不代表本网对其真实性负责。图片版权归原作者所有,如有侵权请联系我们,我们立刻删除。如有关于作品内容、版权或其它问题请于作品发表后的30日内与本站联系,本网将迅速给您回应并做相关处理。
北京飞速度医疗科技有限公司专注于医疗器械、诊断试剂产品政策与法规规事务服务,提供产品注册申报代理、临床合同(CRO)研究、产品研发、GMP质量辅导等方面的技术外包服务。