24小时服务热线:19103801095
NEWS CENTER
Recommend case
contact us

本指导原则旨在指导注册申请人对人红细胞反定型试剂注册申报资料的准备及撰写,同时也为技术审评部门审评注册申报资料提供参考。
本指导原则是对人红细胞反定型试剂的一般要求,申请人应依据产品的具体特性确定其中内容是否适用,若不适用,需具体阐述理由及相应的科学依据,并依据产品的具体特性对注册申报资料的内容进行充实和细化。
本指导原则是供申请人和审查人员使用的指导文件,不涉及注册审批等行政事项,亦不作为法规强制执行,如有能够满足法规要求的其他方法,也可以采用,但应提供详细的研究资料和验证资料。应在遵循相关法规的前提下使用本指导原则。
本指导原则是在现行法规、标准体系及当前认知水平下制定的,随着法规、标准体系的不断完善和科学技术的不断发展,本指导原则相关内容也将适时进行调整。
一、适用范围
人红细胞反定型试剂用于人ABO血型的反定型,测定被检者血液中有无相应的抗A和或抗B抗体,辅助正定型结果判断ABO血型。
本指导原则适用于人红细胞反定型试剂,同时适用于不同的检测方法,如试管法、柱凝集法等,但不适用于血源筛查用人红细胞反定型试剂。
本指导原则仅包括对人反定型红细胞试剂注册申报资料中部分项目的要求,适用于进行产品注册和相关变更的产品。其他未尽事宜,应当符合相关法规要求。
二、注册审查要点
(一)监管信息
1.产品名称及分类编码
产品名称应符合《体外诊断试剂注册与备案管理办法》及相关法规的要求。根据《体外诊断试剂分类规则》,该产品按照第三类体外诊断试剂管理,分类编码为6840。
2.其他信息还包括产品列表、关联文件、申报前与监管机构的联系情况和沟通记录以及符合性声明等文件。
(二)综述资料
综述资料主要包括概述、产品描述、预期用途、申报产品上市历史及其他需说明的内容。其中,产品描述应详述技术原理、产品主要研究结果的总结和评价、与同类和/或前代产品的比较等。与同类和/或前代产品的比较应着重从技术原理、抗原性、特异性、亲和力、溶血率、有效期、性能指标、临床应用情况等方面详细说明申报产品与已获批准的同类/前代产品之间的主要区别。
(三)非临床资料
1.产品技术要求及检验报告
注册申请人应当在原材料质量和生产工艺稳定的前提下,根据产品研制、前期评价等结果,依据相关文件资料,结合产品特性按照《医疗器械产品技术要求编写指导原则》的要求编写。该类产品作为第三类体外诊断试剂,应当以附录形式明确主要原材料以及生产工艺要求。
第三类体外诊断试剂应当提供三个不同生产批次产品的检验报告。有适用的国家标准品发布,技术要求中应体现国家标准品的相关要求。可提交以下任一形式的检验报告:
(1)申请人出具的自检报告。
(2)委托有资质的医疗器械检验机构出具的检验报告。
如有适用的国家标准、行业标准,产品技术要求的相关要求应不低于相应的要求。
产品技术要求的性能指标应至少包括红细胞的抗原性、红细胞的抗原强度、红细胞的特异性、直接抗人球蛋白试验、溶血率(性)、亲和力。
2.分析性能研究
注册申请人应提交在符合质量管理体系的环境下生产的试剂盒进行的所有分析性能评估资料,包括具体试验方案、试验数据、统计分析结果及结论等详细资料。有关试验的背景信息也应在申报资料中进行描述,包括试验地点,采用的配套试剂名称、规格和批号,仪器名称和型号,样本的背景信息(来源、样本编号、样本类型、已知血型结果及确认方式)等。
分析性能评估的试验方法可以参考国内或国际有关体外诊断产品性能评估的指导原则进行。
产品性能研究所采用的各种仪器、试剂或其他物品如可能均应采用境内或境外已批准上市的产品,如抗A、抗B、抗H、抗人球蛋白试剂等。
分析性能评估试验中应明确所有试验每种试剂的用量、试剂红细胞的浓度、采用的试验方法(试管法、柱凝集法等)。所有试验方法应符合配合使用的血型试剂的具体操作要求。
应对申报的反定型红细胞试剂声称适用的所有试验方法进行分析性能评估,如试管法、柱凝集法等。不同试验方法的性能研究均应采用至少三批产品进行。对于人红细胞反定型试剂,建议着重对以下分析性能进行研究:
2.1红细胞的抗原性:以表1的反应格局说明红细胞的抗原性。
表1 红细胞的抗原性
| 抗体 | A1型试剂 红细胞 |
A2型试剂 红细胞 |
B型试剂 红细胞 |
O型试剂 红细胞 |
| 抗A | 4+ | 4+ | — | — |
| 抗A1 | 4+ | — | — | — |
| 抗B | — | — | 4+ | — |
| 抗H | -/+ | 弱阳 | -/+ | 较强 |
| 抗Rh(D、E、C) | -/+ | -/+ | -/+ | 4+ |
2.2红细胞的抗原强度:红细胞的抗原强度应不低于表2要求。
表2 红细胞的抗原强度(效价)
| 抗体 | 试剂红细胞 | 凝集强度≥3+抗体最高稀释度 | 凝集强度≥1+抗体最高稀释度 |
| 抗A(效价在1:256~1:512之间) | A1 | ≥1:8 | ≥1:64 |
| 抗A(效价在1:256~1:512之间) | A2 | ≥1:8 | ≥1:32 |
| 抗B(效价在1:256~1:512之间) | B | ≥1:8 | ≥1:32 |
| 抗H(效价在1:16~1:32之间) | O | ≥1 | ≥1:2 |
2.3亲和力
抗-A、抗-B、抗-H与试剂红细胞A1、A2、B、O混合后,应在多少秒内(如15秒内)出现肉眼可见的凝集,3分钟内凝集块达到1mm2以上(或凝集强度≥3+)。
2.4红细胞的特异性:以表3的反应格局说明红细胞的特异性。
表3红细胞的特异性
| 抗体 | A1型试剂 红细胞 |
A2型试剂 红细胞 |
B型试剂 红细胞 |
O型试剂 红细胞 |
| 抗A | 4+ | 4+ | — | — |
| 抗A1 | 4+ | — | — | — |
| 抗B | — | — | 4+ | — |
| 抗AB | 4+ | 4+ | 4+ | — |
| 抗H | -/+ | 弱阳 | -/+ | 较强 |
| AB型人血清 | — | — | — | — |
2.5直接抗人球蛋白试验
使用抗-IgG和抗-补体或多特异性抗人球蛋白试剂进行试剂红细胞直接抗人球蛋白试验时,结果应为阴性。
2.6溶血率(性)
明确每种试剂红细胞溶血率的试验方法、使用物品、测量方法、结果计算方法等内容。
可采用百分比进行结果报告,也可采用浓度单位报告结果。
2.7样本抗凝剂的选择。
2.8溶血、脂血、黄疸等样本的干扰评价。
3.阳性判断值
给出不同凝集强度的研究方法,并明确不同凝集强度代表的具体意义,并应包含溶血、混合视野双群等情况,明确具体的试验方法、实验步骤,提供不同凝集强度的图例或相片。
4.稳定性研究资料
稳定性研究资料主要涉及两部分内容,申报红细胞试剂的稳定性和适用样本的稳定性研究。前者主要包括实时稳定性(有效期)、运输稳定性、开瓶稳定性等研究,申请人可根据实际需要选择合理的稳定性研究方案,实验项目应至少包括红细胞抗原性、凝集强度、特异性、溶血率、无菌试验。
稳定性研究资料应包括研究方法的确定依据、具体的实施方案、详细的研究数据以及结论。对于实时稳定性研究,应提供至少三批样品在实际储存条件下保存至成品有效期后的研究资料。
应对样本稳定性进行研究,主要包括室温保存、冷藏和冷冻条件下的有效期验证,可以在合理的温度范围内选择温度点(温度范围),每间隔一定的时间段对储存样本进行全性能的分析验证,从而确认不同类型样本的稳定性。适于冷冻保存的样本还应对冻融次数进行评价。
试剂稳定性和样本稳定性两部分内容的研究结果应分别在说明书【储存条件及有效期】和【样本要求】两项中进行详细说明。
5.其他资料
5.1主要原材料研究资料
主要原材料研究资料应包括主要组成成分(红细胞及细胞保存液成分等)的选择、制备及其质量标准的研究资料。
5.1.1红细胞的选择及质量标准。需详细描述红细胞的来源。红细胞来源应稳定、可靠,采集时间期限明确。红细胞的选择应遵循以下原则:
5.1.1.1如红细胞Rh表型为阳性(D+、C+、E+),则应在A1、B红细胞外增加Rh阳性的O型红细胞。
5.1.1.2如只包含A1、B红细胞,则两支红细胞均应为Rh表型阴性(D-、E-、C-)的混合细胞悬液。
应对试剂红细胞进行以下基本特性的研究:
红细胞献血员应进行血型正反定型检测,只有在正反定型结果一致的情况下,其红细胞才能用于生产。
红细胞的抗原性:反定型红细胞至少要包括A1和B细胞,使用A2和O细胞测定可解决部分血型测定中的异常情况,A2细胞可测定A2亚型,O细胞可在测定中作为抗原阴性对照。
红细胞的抗原强度:通过考察不同凝集强度时抗体试剂(抗-A、抗-B、抗-H)的稀释度,说明试剂红细胞的抗原强度。
亲和力:通过与相应抗体(抗-A、抗-B、抗-H)反应在多少秒(如15秒)内出现凝集,3分钟内凝集块达到1mm2以上(或凝集强度≥3+)等指标体现细胞亲和力,可参照相关规定进行试验及结果判断。抗体效价应符合国家规定。
红细胞的特异性:使用抗-A、抗-A1、抗-B、抗-H抗体进行特异性验证。不与ABO血型系统非对应抗体发生阳性反应。
直接抗人球蛋白试验:使用抗-IgG和抗-补体或使用多特异性抗人球蛋白试剂对试剂红细胞进行直接抗人球蛋白试验(DAT)时,结果应为阴性。
溶血率(性):明确溶血率的试验方法、实验所需物品及溶血率的要求。可采用溶血率或游离血红蛋白浓度的作为评价指标。
红细胞浓度的确定:说明红细胞悬浮液的浓度和限度(如3%±0.2%)。
5.1.2红细胞保存液的选择:说明红细胞保存液的选择过程,提交试验数据说明最终确定的保存液在保证细胞的抗原性(抗原性不发生明显减弱)、减少溶血等方面的性能。需明确保存液组分的基本作用,如何防止溶血、抗原减弱、补体激活等。另外应对红细胞保存液的以下性能进行研究:
(1)PH值。
(2)在选定的保存液环境中进行试剂红细胞稳定性的研究,进行详细的效期稳定性、开瓶稳定性的研究。
5.1.3生物安全性。
5.2主要生产工艺及反应体系的研究资料
5.2.1主要生产工艺介绍,可用流程图方式表示,并简要说明主要生产工艺的确定依据。
5.2.2产品基本反应原理介绍。
5.2.3主要生产工艺过程的研究资料、每一步生产工艺的确认资料及试验数据。
5.2.4主要反应体系(不同的实验原理、实验方法)的研究资料、每一步反应体系的确认资料及试验数据。
反应体系的设置应符合《全国临床检验操作规程》等公认标准操作规范、指南或标准的要求。
(四)临床试验
临床试验总体要求及临床试验资料的内容应符合《体外诊断试剂注册与备案管理办法》《医疗器械临床试验质量管理规范》《体外诊断试剂临床试验技术指导原则》《关于公布体外诊断试剂注册申报资料要求和批准证明文件格式的公告(2021年第122号)》等相关文件的规定,以下仅结合人红细胞反定型试剂的具体特点对其临床试验中应重点关注的内容进行阐述。
1.研究方法
建议选择境内已批准上市、临床普遍认为质量较好的同类产品作为对比试剂,采用试验用体外诊断试剂(以下称考核试剂)与之进行比较研究试验,证明本品与已上市产品检测结果的一致性。如申报产品所用方法学尚无同类产品批准上市,建议选择试管法或柱凝集法已上市产品作为对比试剂。
2.临床试验单位的选择
应选择符合法规要求的临床试验机构进行临床试验,不得选择血站或采供血机构进行临床试验。
3.病例选择
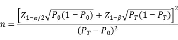
入组受试者应来自临床输血前需要进行血型鉴定的患者。建议根据试验体外诊断试剂预期临床性能水平,采用单组目标值法公式对总样本例数进行估算:

公式中,n为总样本例数;Z1-α/2、Z1-β为显著性水平和把握度的标准正态分布的分数位,P0为评价指标的临床可接受标准,PT为试验体外诊断试剂评价指标预期值。
根据此类产品临床需求和已报道的研究数据,建议总符合率目标值(P0)不低于0.997。根据同类产品性能水平估算,建议总例数不少于3000例。其中不同血型样本例数应符合中国人群ABO血型分布规律。
还应纳入对反定型检测易产生干扰的病例,如各种疾病患者(肿瘤患者、自身免疫病患者、血液病患者等)、老人、儿童(不同年龄段)、孕妇、正反定型不一致的病例等。建议肿瘤疾病患者、自身免疫病患者和血液病患者分别不少于100例,孕妇不少于100例,正反定型不一致病例不少于20例。
4.试验过程
在进行反定型红细胞试剂临床试验的过程中除与对比试剂进行比较外,应同时给出该样本的正定型试验结果,以进一步判断反定型结果的准确性。
产品如适用于不同的试验方法(如试管法、柱凝集法等),每种试验方法均应分别进行样本量估算并分别完成临床试验,明确配合使用的试剂产品,配合使用的试剂均应是境内已上市产品。
5.统计学分析
建议采用R×C表格总结对比试验结果,并分别计算A、B、AB、O型符合率和总符合率,并计算符合率的95%置信区间。此外还应进行正反定型结果一致性分析。
6.结果差异样本的验证
对于两种试剂检测结果不一致(包括正反定型结果不一致、考核试剂与对比试剂结果不一致、与对比试剂凝集强度差异2+或2+以上)的样本,应采用临床上公认较好的第三种同类试剂进行确认试验,同时应结合样本的正定型结果进行综合分析,最终应采用适合的方法进行样本血型确认。
7.临床试验数据表应作为临床试验小结附件提交,表格中应列明所有病例的具体临床诊断信息、凝集强度和血型正反定型结果,如有不符样本应列明第三方确认的结果。申请人应按照法规要求提交数据库。
(五)产品说明书和标签样稿
产品说明书的格式应符合《体外诊断试剂说明书编写指导原则》的要求,境外产品的中文说明书除格式要求外,其内容应尽量保持与原文说明书的一致性,翻译力求准确且符合中文表达习惯。产品说明书的所有内容均应与申请人提交的注册申报资料中的相关研究结果保持一致,如某些内容引用自参考文献,则应以规范格式对此内容进行标注,并单独列明参考文献的相关信息。
人红细胞反定型试剂说明书编写应重点关注以下内容。
1.【预期用途】
1.1写明本试剂用于人血型的反定型检测,同时明确不用于血源筛查,仅用于临床检验。
1.2明确产品的检测结果必须结合正定型的检测结果才能进行ABO血型的准确定型。
1.3说明与预期用途相关的临床适应症背景情况,说明相关的临床或实验室诊断方法。
2.【储存条件及有效期】
说明试剂的储存条件及有效期、开瓶稳定性、运输稳定性等。
3.【样本要求】
明确溶血、脂血、黄疸样本是否可以使用,或提供使用此类样本的最低要求。依据稳定性研究结果写明样本稳定性。
明确适用的抗凝剂的要求。
明确具体的样本采集、处理方法及过程。
4.【阳性判断值】
明确各种试验方法的结果判断方法及标准,并通过不同凝集强度的图例或照片进行详细解释。
5.【检验方法】
如适用于不同的试验方法请分别写明具体方法及操作步骤。如配合其他试剂进行试验,需注明试验方法应完全符合配合试剂的试验操作要求。
质控要求:为确保试剂测定的准确性,每天要使用已知弱反应性抗血清测定试剂细胞的反应性。每次测定时用自身细胞进行同步对照是有意义的。应根据相关规定进行每日质控试验。
6.【检验方法的局限性】
6.1老年人及儿童ABO 抗体弱,某些疾病患者如肿瘤、多发性骨髓瘤、消化道疾病等反定型会出现弱反应,甚至阴性反应,结果应慎重解释。
6.2必须与正定型血型检测同时进行,正反定型结果一致才能确定ABO血型。正反定型不一致时需要进一步检测,单独的反定型结果不能作为判断ABO血型的依据。
6.3绝大多数A、B和O型血的ABO抗体凝集强度均较强,如凝集强度为2+以下,应对弱阳性反应进行确认,以排除干扰或亚型,确保正确的ABO定型。
(六)质量管理体系文件
质量管理体系文件主要包括生产制造信息、质量管理体系程序、管理职责程序、资源管理程序、产品实现程序质量、管理体系的测量/分析/改进程序、其他质量体系程序信息、质量管理体系核查文件。申请人应按照相关法规要求建立相应的质量管理体系,确保产品在符合质量管理体系的环境下生产。
三、参考文献
[1]国家市场监督管理总局.体外诊断试剂注册与备案管理办法:国家市场监督管理总局令第48号[Z].
[2]国家市场监督管理总局.关于公布体外诊断试剂注册申报资料要求和批准证明文件格式的公告:国家药品监督管理局公告2021年第122号[Z].
[3]国家药品监督管理局.医疗器械产品技术要求编写指导原则:国家药监局公告2022年第8号[Z].
[4]国家药品监督管理局.体外诊断试剂临床试验技术指导原则:国家药监局通告2021年第72号[Z].
[5]原国家食品药品监督管理总局.体外诊断试剂说明书编写指导原则:国家食品药品监管总局通告2014年第17号[Z].
[4] GB/T 29791.1-2013,体外诊断医疗器械制造商提供的信息(标示)第1部分:术语、定义和通用要求[S].
站点声明:
本网站所提供的信息仅供参考之用,并不代表本网赞同其观点,也不代表本网对其真实性负责。图片版权归原作者所有,如有侵权请联系我们,我们立刻删除。如有关于作品内容、版权或其它问题请于作品发表后的30日内与本站联系,本网将迅速给您回应并做相关处理。
北京飞速度医疗科技有限公司专注于医疗器械、诊断试剂产品政策与法规规事务服务,提供产品注册申报代理、临床合同(CRO)研究、产品研发、GMP质量辅导等方面的技术外包服务。