24小时服务热线:19103801095
NEWS CENTER
Recommend case
contact us

本指导原则旨在指导注册申请人对布鲁氏菌IgM/IgG抗体检测试剂注册申报资料的准备及撰写,同时也为技术审评部门审评注册申报资料提供依据。
本指导原则是对布鲁氏菌IgM/IgG抗体检测试剂注册申报的一般要求,申请人应依据产品的具体特性确定其中内容是否适用,若不适用,需具体阐述理由及相应的科学依据,并依据产品的具体特性对注册申报资料的内容进行充实和细化。
本指导原则是对申请人和审评人员的指导性文件,但不包括注册审批所涉及的行政事项,亦不作为法规强制执行,如果有能够满足相关法规要求的其他方法,也可以采用,但需要提供详细的研究资料和验证资料,相关人员应在遵循相关法规的前提下使用本指导原则。
本指导原则是在现行法规、标准体系及当前认知水平下制定的,随着法规、标准的不断完善和科学技术的不断发展,本指导原则相关内容也将适时进行调整。
一、适用范围
本指导原则适用于布鲁氏菌IgM/IgG抗体检测试剂。是指基于抗原抗体反应原理,采用免疫层析法、酶联免疫法或化学发光法等检测技术,对来源于血清、血浆或全血等人体样本中的布鲁氏菌IgM/IgG抗体进行体外定性检测的试剂。预期用途为布鲁氏菌感染的辅助诊断。布鲁氏菌的生物学特征,相关疾病的临床适应证背景以及相关的实验室检查方法等背景信息见附件。
本指导原则适用于布鲁氏菌IgM/IgG抗体检测试剂注册申请和变更申请的情形。本指导原则仅针对布鲁氏菌IgM/IgG抗体检测试剂注册申报资料中的部分内容进行撰写,其他未尽事宜应当符合《关于公布体外诊断试剂注册申报资料要求和批准证明文件格式的公告》(国家药品监督管理局公告2021年第122号)等相关法规要求。
二、注册审查要点
(一)监管信息
1.产品名称及分类编码
产品名称应符合《体外诊断试剂注册与备案管理办法》及相关法规的要求。根据《体外诊断试剂分类规则》,该产品按照第三类体外诊断试剂管理,分类编码为6840。
2.其他信息还包括产品列表、关联文件、申报前与监管机构的联系情况和沟通记录以及符合性声明等文件。
(二)综述资料
综述资料主要包括概述、产品描述、预期用途、申报产品上市历史及其他需说明的内容。建议申请人对以下几方面内容进行着重介绍:
1.临床适应证背景情况
描述布鲁氏菌的生物学特征、流行病学特征、抗体的分布情况(浓度水平、产生和消失的时间等)、易感人群、感染后的临床表现和相关疾病、现有的临床诊断方法或其他实验室检查方法等。
2.同类产品上市情况
从技术方法及预期用途等方面写明申报产品与现行临床诊断方法以及目前市场上已获批准的同类产品之间的主要异同点。
(三)非临床资料
1.产品技术要求及检验报告
1.1产品技术要求
注册申请人应当在原材料质量和生产工艺稳定的前提下,根据产品研制、前期评价等结果,依据国家标准、行业标准及有关文献资料,结合产品特性按照《医疗器械产品技术要求编写指导原则》的要求编写。该类产品作为第三类体外诊断试剂,应当以附录形式明确主要原材料以及生产工艺要求。
如有适用的国家标准、行业标准,产品技术要求的相关要求应不低于相应的要求。
1.2产品检验报告
布鲁氏菌IgM/IgG抗体检测试剂尚无国家标准品,技术要求中应体现企业参考品的相关要求,并使用企业参考品对三批产品进行检验。
2.分析性能研究
注册申请人应采用在符合质量管理体系的环境下生产的试剂盒进行所有分析性能研究,提交具体研究方法、试验方案、试验数据、统计分析等详细资料。
如申报产品适用不同的机型,需要提交采用不同机型进行性能评估的资料。如申报产品包含不同的包装规格,需要对各包装规格进行分析或验证。
适用的不同样本类型应分别进行分析性能研究。
分析性能评估所用样本的基本信息均需明确,例如样本来源、样本类型、采集保存运输和处理方式、稀释方式、定值过程及数据等。研究中采用的布鲁氏菌IgM/IgG抗体阳性样本,应采用科学合理的方法确定其阴阳性和浓度水平,提交具体的试验资料。分析性能评估用样本一般应为真实样本,如涉及稀释后检测,应采用与适用样本类型一致的阴性基质。对于各项性能中采用的样本,在下述各项性能研究资料中分别提供样本信息列表。
2.1样本稳定性
样本稳定性研究应采用临床真实样本进行,通常应当至少包含一定数量阴性样本及弱阳性样本,考察样本在经历不同的储存条件后,试剂能否稳定输出符合要求的结果。样本稳定性可以包含样本冻融稳定性和运输稳定性的研究。
2.2适用的样本类型
描述适用的样本类型,如:血清、血浆或全血等,血浆和全血需考察不同抗凝剂的适用性。
如产品适用于血清和血浆,可采用同源比对验证样本的可比性。
如产品适用于全血,可采用该样本类型进行全性能评估,亦可至少进行检出限、不同区域样本的包容性和精密度研究。
2.3校准品的量值溯源和质控品的赋值
描述校准品的量值溯源(如适用)。
描述质控品的赋值(如适用)。需至少采用三批产品分别在不同适用机型进行赋值研究。
2.4精密度
应对精密度指标,如标准差或变异系数等的评价标准做出合理要求。精密度研究应采用临床样本。
应考虑运行、时间、操作者、仪器、试剂批次和地点等影响精密度的条件,设计合理的精密度试验方案进行评价。
设定合理的精密度评价周期,例如:为期至少20天的检测,具体方案可参考性能评价相关文件进行。
用于精密度评价的临床样本应至少包含3个水平:阴性样本、临界阳性样本、(中或强)阳性样本,并根据产品特性设定适当的精密度要求。
阴性样本:待测物浓度低于检出限或为零浓度,阴性检出率应为100%(n≥20)。
临界阳性样本:待测物浓度略高于试剂盒的检出限,阳性检出率应≥95%(n≥20)。
中阳性样本:待测物浓度呈中等阳性,阳性检出率为100%且CV≤15%(n≥20)。
强阳性样本:待测物浓度呈强阳性,阳性检出率为100%且CV≤15%(n≥20)。
2.5包容性
提供具有时间和区域特征性的不同来源的患者真实临床样本进行验证,应包括羊种、牛种、猪种布鲁氏菌感染的情况。IgM抗体、IgG抗体检测试剂分别研究,验证内容应包括检出限、重复性等,提供样本及浓度的确认方法、试验数据。其中应注意,包容性研究样本和检出限研究样本不能重复。
2.6检出限
检出限的确定:建议选取特定滴度的特异性抗体阳性样本梯度稀释进行检出限确定,每个梯度的稀释液重复3~5份,每份稀释液重复检测不少于20次,将具有95%阳性检出率的抗体水平作为检出限。
IgM抗体、IgG抗体检测试剂应分别选择不同来源具有代表性的3个临床样本进行检出限的确定。
检出限的验证:选择具有时间和区域特征性的至少3个临床样本(与检出限确定不同样本)在检出限浓度水平进行验证,应达到95%阳性检出率。
采用的稀释液应与适用样本类型的基质一致,可采用阴性样本进行稀释。抗体检测试剂应提供详细的抗体类型和滴度的确认方法及验证结果。
2.7分析特异性
2.7.1交叉反应验证(IgM抗体、IgG抗体检测试剂应分别验证)
用于交叉反应验证的病原体种类主要考虑以下几方面:抗原结构具有同源性(如在分类学上的近缘菌)、易引起相同或相似的临床症状(如胞内感染菌)、易并发感染的其他微生物(见表1),以及低浓度病原体特异性IgG抗体与高浓度特异性IgM抗体以及高浓度病原体特异性IgG抗体与低浓度特异性IgM抗体的交叉反应验证。
表1 用于交叉反应研究的病原体抗体
|
伤寒沙门菌 |
副伤寒沙门菌 |
|
幽门螺杆菌 |
结核分枝杆菌 |
|
金黄色葡萄球菌 |
肠道病毒 |
|
肝炎病毒 |
大肠埃希菌 |
|
EB病毒 |
提供所有用于交叉反应验证的病原体抗体阳性样本的来源、和浓度/滴度确认等详细的试验资料。
验证不少于30份在布鲁氏菌病高发地区的正常健康人样本。
2.7.2内源/外源物质干扰
不同样本类型其潜在干扰物质可能不同,应根据具体采集的样本类型,选择适用的干扰物质进行研究(见表2)。建议申请人在每种干扰物质的潜在最大浓度(“最差条件”)条件下进行评价,在抗体临界阳性水平进行干扰试验验证。
表2用于干扰试验的物质
|
物质 |
活性成分 |
|
血液中干扰物质 |
胆红素、血脂、血红蛋白、类风湿因子、抗核抗体、抗线粒体抗体、异嗜性抗体(如HAMA)、球蛋白、总IgG、总IgM、红细胞压积(全血样本适用)等。 |
|
常见治疗药物 |
多西环素、利福平、庆大霉素、氟喹诺酮类、甲氧苄啶/磺胺甲唑、β-内酰胺类、风湿治疗药物、对乙酰氨基酚类 |
2.8高剂量钩状效应
申请人应评估高剂量钩状效应并提交研究资料。
2.9IgM抗体破坏试验(IgM抗体检测试剂适用)
对至少5份含有病原体特异性IgM抗体的样本进行IgM破坏试验研究,方法为采用特定的化学制剂(如2-巯基乙醇或二硫苏糖醇)处理样本后,重新进行检测,IgM检测结果应为阴性。
2.10企业参考品性能
根据主要原材料研究资料中的企业参考品设置情况,采用三批产品对企业参考品进行检验并提供详细的试验数据。
2.11反应体系研究
2.11.1研究样本采集时间点的选择:是否受病程、临床症状等因素的影响。
2.11.2反应条件确定
申请人应考虑反应时间、判读时间、反应温度/湿度、洗涤液体积和洗涤次数(如涉及)等条件对产品性能的影响,通过试验确定上述条件的最佳组合。
2.11.3反应体系中样品加样方式及加样量确定:通过试验确定最佳的加样方式及加样量。如样本需采取稀释或其他必要的方法进行处理后方可用于最终检测,申请人还应对样本稀释液及其用量、其他必要的处理方法等进行研究。对于IgM抗体检测试剂,如采用间接法,建议考虑高浓度特异性IgG对结果的影响,合理设置IgG去除相关样本处理步骤,以降低特异性IgG可能造成的假阴性和假阳性。
3.稳定性研究
一般应包含研究方案,采用的样本、仪器和试剂信息,数据(如检验结果、温度记录等)及试验结果等。
3.1实时稳定性(货架有效期)
提交至少三批申报产品在实际储存条件下保存至成品有效期后的实时稳定性研究资料。明确储存的环境条件(如温度、湿度和光照)及有效期。
3.2使用稳定性
提交申报产品实际使用期间稳定性的研究资料,应包括所有组成成分的开封稳定性。适用时提交复溶稳定性、机载稳定性及冻融次数研究资料等。如涉及校准品,还应提交校准频率或校准稳定性研究资料。明确产品使用的温度、湿度条件等。
3.3运输稳定性
提交申报产品可在特定或者预期的条件下运输的研究资料,应说明产品正确运输的环境条件(如温度、湿度、光照和机械保护等)。同时说明产品的包装方式以及暴露的最差运输条件。注意应考察经过运输条件后实时稳定性。
4.阳性判断值研究
提交对申报试剂阴性/灰区/阳性等结果判断的阳性判断值(cut-off,CO)确定的研究资料,包括具体的试验方案、人群样本选择、评价标准、统计学分析和研究数据等。确定阳性判断值使用的样本来源的选择应考虑如下因素的影响:
4.1不同地理区域流行病学背景的差异:高危人群(包括牧区和相关职业)和普通人群。
4.2患者处于不同的感染阶段:急性期、亚急性期和慢性期,首次感染与复发感染。
申请人应根据具体情况选择适当的方法,如受试者工作特征曲线(ROC)的分析方式,来确定合理的阳性判断值。若试验结果存在灰区,则应明确灰区建立的基础。应重点考察对弱阳性样本的区分能力,研究中应包含有统计学意义的弱阳性样本例数。
提交阳性判断值所用样本信息列表,至少包括性别、年龄、动物或其制品接触史(如适用)、发病天数(如适用)、临床诊断信息、样本来源机构、抗体检测结果等。阳性判断值研究用样本不应与临床试验样本重复。
如果产品适用不同样本类型,需要对所有样本类型进行阳性判断值的验证。
5.其他资料
5.1主要原材料研究资料
5.1.1布鲁氏菌抗体检测试剂所用特异性抗原
病原体特异的抗原是该类产品的关键原材料。在选择抗原原料时,应注重抗原表位的选择,避免菌种间差异造成的假阴性,亦应考虑抗原在其他近缘菌的表达情况,避免存在交叉反应出现假阳性。原材料研究资料中应详述该方面的考虑。
首先应详述抗原表位及选择依据,此外应提交抗原来源、制备、筛选、纯化、鉴定及质量标准(外观、蛋白浓度、纯度、分子量、功能性试验等)详细试验资料。
主要包括以下两种情况:
5.1.1.1企业自制抗原
如为天然抗原,则应对毒株选择、培养、抗原提取、纯化、鉴定等试验过程予以详述。如为重组抗原,则应提交有关特定基因选择、序列信息、克隆构建及转化、抗原表达及纯化、鉴定等详细资料,重组抗原应明确与天然抗原结构的异同。
5.1.1. 2企业外购抗原
应详述抗原的名称、抗原生物学来源、供应商名称、提交供应商选择的研究资料及供应商出具的抗原性能指标及检验报告。重组抗原应描述关特定基因选择、序列信息,克隆构建及转化,抗原表达及纯化、鉴定等资料,重组抗原应明确与天然抗原结构的异同。
5.1.2其他主要原材料
除上述主要原材料外,产品中包含的其他主要原材料,如小鼠抗人IgM/IgG单克隆抗体、酶标抗体、胶体金、硝酸纤维素膜、微孔板、样本稀释液等,均应进行选择及验证,并提交相关资料。明确主要原材料的供应商和质量控制标准。免疫层析方法学的产品如适用于全血,应介绍血细胞去除方式,并验证去除效果。
5.1.3试剂盒质控品/质控线
产品应设置合理的质控品/质控线。质控品应至少包含阴性和阳性两个水平。抗体检测试剂阳性质控品可选择临床阳性样本,阴性质控品可选择临床阴性样本或阴性基质等。提交相关原料的来源、选择和性能确认等相关研究资料,明确供应商和质量控制标准。企业应对质控品的检测结果(如A值)做出明确的范围要求(试验有效性的判断)。
5.1.4企业参考品
该类产品的企业参考品一般包括阳性参考品、阴性参考品、检出限参考品和重复性参考品。应根据产品性能验证的实际需要设置企业参考品。
应提交企业参考品的原料来源、选择、制备、阴阳性及浓度/滴度确认方法或试剂等相关验证资料。企业参考品的基质应与待测样本相同。布鲁氏菌抗体检测试剂的企业参考品的设置建议如下:
5.1.4.1阳性参考品
阳性参考品应考虑覆盖不同来源及特征的布鲁氏菌抗体阳性样本,可选择至少各5份确认为阳性的临床样本,并设置不同滴度水平;其中应包含IgM/IgG单独阳性和双阳性的样本。
5.1.4.2阴性参考品
阴性参考品应考虑检测特异性的评价,应纳入类风湿因子阳性样本及其他病原体特异性抗体阳性样本。
5.1.4.3检出限参考品
可设置临床阳性样本的系列稀释样本,其中应包含检出限水平, IgM和IgG分别设置。
5.1.4.4重复性参考品
建议包括高、低两个浓度的临床样本,其中一个浓度应为检出限附近的浓度。
5.2生产工艺研究资料
5.2.1产品基本反应原理介绍。
5.2.2生产工艺介绍,可用流程图方式表示,并提交研究资料说明每一步骤生产工艺的研究确定资料。
5.2.3包被/标记工艺研究,申请人应考虑如包被/标记液量、浓度、时间、条件等指标对产品性能的影响,通过试验确定上述指标的最佳组合。
5.2.4显色系统、酶作用底物等的介绍以及最适条件研究。
(四)临床评价资料
临床试验的开展、方案的制定以及报告的撰写等均应符合相关法规及《体外诊断试剂临床试验技术指导原则》的要求,如相关法规、文件有更新,临床试验应符合更新后的要求。
1.临床研究单位的选择
应选择不少于3家(含3家)经医疗器械临床试验机构备案的临床试验机构,按照相关法规、指导原则的要求开展临床试验。临床试验机构的选择应充分考虑拟申报产品的特点和预期用途,综合流行病学背景,建议选择不同地区的临床试验机构开展临床试验,使临床试验机构和受试者的选择具有一定的地域代表性。且临床试验机构应具有免疫学方法和微生物培养检测的优势,实验操作人员应有足够的时间熟悉检测系统的各环节,熟悉临床试验方案。
2.临床试验方法
2.1如有已上市同类产品的,建议申请人选择境内已批准上市的同类产品作为对比试剂,采用试验体外诊断试剂与之进行对比试验研究,评价申报产品的临床性能。对比试剂的选择应从预期用途、样本要求、检测性能等方面,确认其与申报产品具有较好的可比性。
如无已上市同类产品,申请人可选择临床参考标准进行比较研究。临床参考标准即按照国家卫生健康委员会发布的《布鲁氏菌病诊断WS 269-2019》等文件进行病例诊断的方法。
2.2针对IgM检测,还应进行一定量的新鲜样本与布鲁氏菌培养鉴定方法进行比较,培养鉴定的方法应参照按照国家卫生健康委员会发布的《布鲁氏菌病诊断WS 269-2019》,培养时间建议不少于14天。对于培养阳性而IgM检测阴性的病例应进一步随访其IgM的检测情况,并结合IgG的检测结果等综合进行分析。对于培养阴性而IgM检测阳性的病例建议进一步确认病例的感染状态。针对不一致的样本,应综合以上因素进行分析。
2.3对于无已上市同类产品的试剂,为了进一步充分评价申报产品的临床检测性能,申请人还应纳入至少10例患者的连续收集的样本进行研究,应涵盖不同的疾病阶段,考察申报产品IgM和IgG的检测性能,该部分病例应包括一定数量的IgM、IgG阳转的病例。
3.受试者选择和样本类型
3.1受试者选择
入组人群应以疑似病例为主,应具有相应的流行病学史以及相关的临床症状及体征,如持续数日乃至数周发热(包括低热),多汗,乏力,肌肉和关节疼痛等,肝、脾、淋巴结肿大等。还应包括各种可能的干扰样本、交叉反应样本(其它病原体阳性)等。
应注意,入组人群应包括疾病的不同阶段,急性期(3个月以内)、亚急性期(3~6个月)、慢性期(超过6个月)。应纳入初次感染以及复发/再感染的病例。
3.2样本类型
布鲁氏菌抗体检测试剂适用的样本类型一般包括血清、血浆、静脉全血等。对于不同的样本类型,如临床前研究证实检测性能没有差异(如血清、血浆),则临床试验中可汇总统计。
如产品适用的不同样本类型差异较大(如:血清/血浆与静脉全血),建议针对不同样本类型进行同源比对,亦可分别按照临床试验设计与已上市同类产品或临床参考标准进行比对。
4.临床试验样本量
临床试验样本量应满足统计学要求,可采用适当的统计学方法进行估算。根据相应临床试验设计,本临床试验可依据申报产品相对于对比试剂的阴、阳性符合率分别估算最低阴、阳性样本例数。
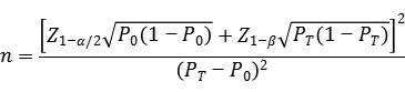
4.1与已上市同类产品作为对比试剂的比较研究中,临床样本量的估算建议采用单组目标值法进行计算,阴阳性符合率的临床可接受标准(P0)建议不低于90%。

公式中,n为样本量;Z1-α/2、Z1-β为显著性水平和把握度的标准正态分布的分数位,P0为评价指标的临床可接受标准,PT为考核试剂评价指标预期值。
临床试验总体样本量确定时应在上述阴、阳性样本最低样本量估算的基础上,同时考虑其他可能造成受试者脱落的情况以及可能需要纳入的干扰样本、交叉反应样本等情况适当增加入组样本量。
4.2与临床参考标准的比较研究,建议参考与对比方法/试剂比较研究部分的样本量估算方法,设定合理的临床可接受标准。
4.3与布鲁氏菌培养鉴定比较研究,应入组一定数量的阳性及阴性病例,考察试验体外诊断试剂与布鲁氏菌培养鉴定的一致性,纳入的例数也应进行统计学估算,可采用抽样精度的公式进行样本量估算。
4.4如申报产品适用于不同样本类型,临床试验需进行不同样本类型(如血清/血浆与全血)的同源比对时,样本例数应满足统计学要求,建议每种样本类型的阳性和阴性样本例数均不少于70例。
5.统计学分析
应选择合适的统计方法对临床试验结果进行统计分析,对于申报产品与对比试剂/临床参考标准的一致性评价,常选择交叉四格表形式总结两种方法的结果,评价指标一般包括阳性符合率/阴性符合率、灵敏度/特异度,Kappa值等,并计算相应的95%置信区间。同时应针对疾病的不同阶段进行亚组分析。
对于IgM和IgG联检的产品,应分别针对IgM、IgG以及二者联检与对比试剂/临床参考标准进行统计分析。
临床试验中不一致结果均应结合患者的流行病学背景、临床症状、患者的免疫状态、疾病转归以及其他检验结果等信息进行充分的分析。
6.伦理学要求
临床试验必须符合赫尔辛基宣言的伦理学准则。研究者应考虑临床试验用样本的获得和试验结果对受试者的风险,提请伦理委员会审查,并获得伦理委员会的同意。注册申报时应提交伦理委员会的审查意见。
7.临床试验方案
临床试验实施前,研究人员应从流行病学、统计学、临床医学、检验医学等多方面考虑,设计科学合理的临床试验方案。各临床试验机构应执行统一的临床试验方案,且保证在整个临床试验过程中遵循预定的方案实施,不可随意改动。整个试验过程应在临床试验机构的实验室内并由本实验室的技术人员操作完成,申请人的技术人员除进行必要的技术指导外,不得随意干涉实验进程,尤其是数据收集过程。
试验方案中应确定严格的病例纳入/排除标准,任何已经入选的病例再被排除出临床试验都应记录在案并明确说明原因。在试验操作过程中和判定试验结果时应采用盲法以保证试验结果的客观性。
8.质量控制
临床试验开始前,建议进行临床试验的预试验,以熟悉并掌握相关试验方法的操作、仪器、技术性能等,最大限度控制试验误差。整个试验过程都应处于有效的质量控制下,最大限度保证试验数据的准确性及精密度。
9.临床试验报告撰写
临床试验报告应该对试验的整体设计及各个关键点给予清晰、完整的阐述,应该对整个临床试验实施过程、结果分析、结论等进行条理分明的描述,并应包括必要的基础数据和统计分析方法,最后得出临床试验结论。临床试验报告的撰写参考《体外诊断试剂临床试验技术指导原则》及《体外诊断试剂临床试验报告范本》的相关要求。
(五)产品说明书和标签样稿
产品说明书格式应满足《体外诊断试剂说明书编写指导原则》的要求。产品说明书中技术内容应与注册申报资料中的相关研究结果保持一致,如某些内容引用自参考文献,应以规范格式进行标注,并单独列明文献的相关信息。说明书编写应重点关注以下内容:
1.【预期用途】
产品预期用途的描述应符合现行的疾病防治指南,其临床试验入组病例应能够覆盖产品适用人群。建议产品预期用途包括如下内容:
本产品用于体外定性检测人血清/血浆/全血样本中的布鲁氏菌的IgM/IgG抗体。
用于布鲁氏菌感染的辅助诊断。本试剂盒检测结果仅供临床参考,建议结合患者临床表现和其他实验室检测结果对病情进行综合分析。
2.【样本要求】重点明确以下内容:
2.1样本采集:明确采集时间、采集顺序、采集量等,是否受临床症状、用药情况等因素的影响。说明采集方法及样本类型,对于血浆、全血样本,应注明对抗凝剂的要求。
2.2干扰物的影响:明确常见干扰物对实验结果是否产生影响,明确可接受的最大干扰物浓度。
2.3样本处理及保存:样本处理方法、保存条件(如冷藏、冷冻等)及不同保存条件下的保存时限和运输条件等。冷藏、冷冻样本检测前是否需要恢复室温,冷冻样本的冻融次数限制等。
3.【检验方法】
详细说明试验操作的各个步骤:
3.1试验环境:实验室的温度、湿度要求,检测试剂及样本的复温要求等。
3.2试剂配制方法,试剂开封后使用方法等。
3.3高浓度样本稀释的方法。
3.4试验条件:操作步骤、温度、时间、仪器波长等。
3.5质量控制:操作步骤,质控结果的要求(试验有效性的判断),质控结果不符合要求的处理方式。
3.6对于胶体金法检测试剂可以图示形式显示正确的检验操作方法、程序等。特别注意应强调操作温度及湿度条件、读取结果的时间范围。
3.7特别说明检验操作过程中的注意事项。
4.【阳性判断值】(如适用)
明确阳性判断值,简要描述阳性判断值确定的试验方法。
5.【检验结果的解释】
结合质控线/对照品/质控品/校准品以及样本的检测结果,对所有可能出现的结果组合及相应的解释进行详述。对于胶体金法检测试剂可采用图示形式描述结果判读方法。如有灰区判定,详细说明灰区样本的处理方法。
6.【检验方法的局限性】
综合产品的预期用途、临床背景、检测方法及适用范围等信息,对可能出现的局限性进行相关说明,建议包括以下内容:
6.1本产品检测结果仅供临床参考,不应作为临床诊治的唯一依据,对患者的临床管理应结合其症状/体征、病史、其他实验室检测、治疗反应及流行病学等信息综合考虑。
6.2不合理的样本采集、转运、处理及不当的实验操作和实验环境均有可能导致假阴性或假阳性结果。
6.3由于细菌感染到机体产生特异性抗体需经一定时间,抗体的滴度水平存在个体差异等,应综合考虑IgM抗体检测结果、IgG抗体检测结果、染疫的家畜及其制品接触史、涉疫区史、临床表现等进行疾病诊断。
6.4评价血清学检测结果时需要结合患者的临床病程、基础状况(免疫状态)以及年龄等因素综合考虑,如:免疫功能低下、缺陷或免疫功能受抑制的人群、产生抗体能力较低的婴幼儿,可能不产生或产生低滴度的抗体,其血清学抗体检测的参考价值有限,可能会导致错误的医学解释。
6.5在近几个月内接受过输血或其他血液制品治疗的人群,对其阳性检测结果的分析应慎重。
6.6该产品为定性检测产品,结果并不能准确反映布鲁氏菌IgM /IgG抗体的滴度。
6.7其他需要说明的局限性等。
7.【产品性能指标】
简述以下性能指标:
7.1企业参考品符合率。
7.2检出限:简要介绍评价方法、所用样本情况以及评价结果。
7.3对包容性的研究情况进行总结。
7.4对精密度的研究情况进行总结。
7.5分析特异性
7.5.1交叉反应:详述交叉反应验证的病原体种类,及有/无交叉反应的浓度水平。
7.5.2干扰试验:说明验证的干扰物质种类及有/无干扰反应的浓度水平。
7.6临床试验:简要介绍试验方法、受试者及样本、试验结果和结论等。
8.【注意事项】
8.1本产品仅用于体外诊断。
8.2明确本试剂盒所采用的生物学来源的组分,虽经灭活,但不能保证其不具有潜在传染性,需要严格按照生物安全有关规定操作,遵循实验室操作的常规规定。所有样品、洗涤液(如适用)和各种废弃物均应按污染物处理。
8.3试剂操作的注意事项,如是否需要平衡至室温再使用,是否需要摇匀等。不同批号的试剂是否可以混用。
8.4有关实验操作、样本保存及处理等其他注意事项。
三、参考文献
[1] WS 269—2019,中华人民共和国卫生行业标准-布鲁氏菌病诊断[S] .
[2]国家卫生计生委办公厅.全国布鲁氏菌病监测工作方案[Z].2018-02-23.
[3] MJ Corbel.人兽布鲁氏菌病[M].北京:人民军医出版社,2015.
[4] Pablo Yagupsky, Laboratory Diagnosis of Human Brucellosis [J].Clinical Microbiology Reviews,2019,Vol. 33, No. 1.
附件
背景信息
布鲁氏菌属(Brucella)是胞内寄生的革兰氏阴性菌,为球杆菌或短杆菌。布鲁氏菌病(Brucellosis,简称布病)是由布鲁氏菌属的细菌侵入机体,引起的人兽共患的传染性疾病。常见的病原体包括羊种布鲁氏菌(B. melitensis,也称马耳他布鲁氏菌)生物型1~3,牛种布鲁氏菌(B. abortus,也称流产布鲁氏菌)生物型1~7和9,猪种布鲁氏菌生物型1~5及绵羊附睾种布鲁氏菌(B. ovis)、沙林鼠种布鲁氏菌(B. neotomae)、犬种布鲁氏菌(B. canis)各1个生物型,共6个种19个生物型。布鲁氏菌病是人畜共患的传染病;疫畜是布鲁氏菌病的主要传染源,包括羊、牛、猪和犬等。人类对布鲁氏菌普遍易感,布鲁氏菌通过职业、环境接触感染动物及其制品等途径而传播给人。布鲁氏菌病常见的临床表现包括发热、多汗、乏力和肌肉关节疼痛等,急性期病例多出现肝、脾及淋巴结肿大,男性病例可伴有睾丸炎,女性病例可见卵巢炎;如果治疗不及时或不规范,容易由急性转为慢性,慢性期患者表现为骨关节系统的损害等。
布鲁氏菌病的潜伏期一般为1-3周。病程在3个月内为急性期;3~6个月为亚急性期;6个月以上为慢性期,均出现血清学抗体阳性反应。感染的早期阶段,开始出现特异性IgM抗体,然后出现特异性IgG抗体,随病程进展持续升高;部分急性期患者特异性IgM抗体出现较晚,治愈后特异性IgG抗体持续存在。疾病复发时,通常特异性IgG抗体的滴度快速升高,特异性IgM抗体可升高或不升高。在慢性病例中,特异性IgM抗体的滴度逐渐下降,特异性IgG抗体持续存在。
布鲁氏菌的实验室检查方法分为初筛试验和确证试验;前者包括虎红平板凝集试验、胶体金免疫层析试验(GICA)、酶联免疫吸附试验(ELISA)和布鲁氏菌培养物涂片革兰染色等,后者包括标准试管凝集试验(SAT)、抗人免疫球蛋白试验(Coomb’s)、补体结合试验(CFT)以及布鲁氏菌的分离培养和鉴定。IgM和IgG的检测结果可以作为区分近期感染和既往感染的参考。布鲁氏菌病的诊断应根据流行病学史、临床表现及实验室检查结果进行综合判断。
站点声明:
本网站所提供的信息仅供参考之用,并不代表本网赞同其观点,也不代表本网对其真实性负责。图片版权归原作者所有,如有侵权请联系我们,我们立刻删除。如有关于作品内容、版权或其它问题请于作品发表后的30日内与本站联系,本网将迅速给您回应并做相关处理。
北京飞速度医疗科技有限公司专注于医疗器械、诊断试剂产品政策与法规规事务服务,提供产品注册申报代理、临床合同(CRO)研究、产品研发、GMP质量辅导等方面的技术外包服务。