24小时服务热线:19103801095
NEWS CENTER
Recommend case
contact us

本指导原则旨在指导注册申请人对曲霉核酸检测试剂注册申报资料的准备及撰写,同时也为技术审评部门提供参考。
本指导原则是对曲霉核酸检测试剂的一般要求,申请人应依据产品的具体特性确定其中内容是否适用。若不适用,需具体阐述理由及相应的科学依据,并依据产品的具体特性对注册申报资料的内容进行充实和细化。
本指导原则是供注册申请人和技术审评人员使用的指导性文件,但不包括审评审批所涉及的行政事项,亦不作为法规强制执行,应在遵循相关法规的前提下使用本指导原则。如果有能够满足相关法规要求的其他方法,也可以采用,但是需要提供详细的研究资料和验证资料。
本指导原则是在现行法规和标准体系以及当前认知水平下制定,随着法规和标准的不断完善,以及科学技术的不断发展,相关内容也将适时进行调整。
真菌的生物分类包括门、纲、目、科、属等,本指导原则对真菌的分类描述如无特殊说明均为“种”,如指“目”或“属”等均已在原文中明确。
一、适用范围
本指导原则适用于采用实时荧光PCR法,对肺泡灌洗液、痰液、组织样本等中的曲霉核酸进行体外定性检测的试剂,包含曲霉属(Aspergillus)通用型核酸检测试剂和曲霉属中一个或多个菌种的检测试剂。检测结果临床上用于肺曲霉病的辅助诊断。
对于采用其他方法学的曲霉核酸检测试剂,可能部分要求不完全适用或本文所述内容不够全面,申请人应参照本指导原则,根据产品特性对适用部分进行评价,并补充其他的评价资料。
本指导原则适用于曲霉核酸检测试剂注册申请和变更注册申请的情形。本指导原则针对曲霉核酸检测试剂注册申报资料中的部分内容进行撰写,其他未尽事宜应当符合《关于公布体外诊断试剂注册申报资料要求和批准证明文件格式的公告》等相关法规的要求,同时建议参考《定性检测试剂分析性能评估注册审查指导原则》等适用的技术文件要求。
二、注册审查要点
(一)监管信息
1.产品名称及分类编码
产品名称应体现检测目标病原体,如曲霉核酸检测试剂盒(实时荧光PCR法)、烟曲霉核酸检测试剂盒(实时荧光PCR法)等。该产品按照第三类体外诊断试剂管理,分类编码为6840。
2.其他信息还包括产品列表、关联文件、申报前与监管机构的联系情况和沟通记录以及符合性声明等文件。
(二)综述资料
综述资料主要包括概述、产品描述、预期用途、申报产品上市历史及其他需说明的内容。应详细说明产品所采用的技术原理及检测流程。明确产品检测靶基因,提供引物和探针的设计依据。提供核酸提取(手工和自动提取方式应分别明确)和PCR扩增的时间,提供不同适用机型的检测通量(如适用)。与已上市同类产品或前代产品进行比较,比较内容包括样本类型,检测原理,检测靶基因,组成成分,内标,质控品,判读规则,分析性能和临床性能等。提供样本类型选择的依据。提供产品预期用途和临床适应证,明确适用人群的情况。
(三)非临床资料
1.分析性能研究
分析性能评估所用样本的基本信息均需明确,例如样本来源、样本类型、采集和处理方式、稀释方式、定值过程及数据等。研究中采用的曲霉阳性样本,应采用科学合理的方法确定其阴阳性和浓度水平,提交具体的试验资料,并明确培养和鉴定结果。分析性能评估用样本均应采用真实样本(临床样本或培养菌株),如涉及稀释后检测,应采用与适用样本类型一致的阴性基质。也可采用人工构建样本(如质粒)进行研究,此部分研究可作为额外研究资料提交注册。对于各项性能中采用的样本,在下述各项性能研究资料中分别提供样本信息列表。检出限和包容性研究中所用样本应相互独立。
1.1样本稳定性
应对样本稳定性进行详细研究,包括采集后未经处理的样本,加入不同裂解液/消化液的样本,灭活处理后的样本(如适用),研究内容包括冷藏保存时间,冷冻保存时间,冻融次数等。
如产品适用不同的样本类型,应对每种样本类型进行稳定性研究。
如核酸提取液可不立即进行检测,还需对核酸提取液的保存条件和稳定性进行研究。
1.2企业参考品验证
根据主要原材料研究资料中的企业参考品设置情况,采用三批产品对企业参考品进行检验并提供详细的试验数据。
1.3精密度
应对精密度指标,如标准差或变异系数等的评价标准做出合理要求。应考虑运行、时间、操作者、仪器、试剂批次和地点等影响精密度的条件,设计合理的精密度试验方案进行评价。精密度评价试验应包含核酸提取步骤。设定合理的精密度评价周期,例如为期至少20天的检测。对检测数据进行统计分析,获得重复性、实验室内精密度、实验室间精密度、批间精密度等结果。
采用培养菌株进行精密度评价,应至少包含3个水平:阴性样本、临界阳性样本、中/强阳性样本,采用孢子/mL作为菌株浓度的表示方式,并根据产品特性设定适当的精密度要求,例如:
阴性样本:不含待测物,阴性检出率应为100%(n≥20)。
临界阳性样本:待测物浓度为试剂盒的检出限浓度,阳性检出率应≥95%(n≥20)。
中/强阳性样本:待测物浓度呈中度到强阳性,阳性检出率为100%且Ct值的CV≤5%(n≥20)。
1.4包容性
1.4.1采用生物信息学方法对产品检测的包容性进行研究,研究应覆盖已公布的曲霉核酸序列。
1.4.2根据试剂盒检测范围选择进行包容性验证的曲霉种,使用具有不同时间和区域特征性的不同来源的临床样本或培养菌株进行验证,每种菌种至少使用3例样本,研究应包括检出限和重复性的验证。
对于曲霉属通用型核酸检测试剂,样本应覆盖已知曲霉属中的主要致病菌种,至少包含烟曲霉(A.fumigatus)、黄曲霉(A.flavus)、黑曲霉(A.niger)、土曲霉(A.terreus)、构巢曲霉(A.nidulans)、米曲霉(A.oryzae)、聚多曲霉(A.sydowii)、杂色曲霉(A.versicolor)、亮白曲霉(A.candidus)、灰绿曲霉(A.glaucus)。
1.5检出限
根据试剂盒检测范围选择进行检出限验证的曲霉种。如为曲霉属通用型核酸检测试剂,应至少对烟曲霉、黄曲霉、黑曲霉、土曲霉、构巢曲霉分别进行检出限的确定和验证。
1.5.1检出限的确定
,
建议使用培养菌株系列稀释于与适用样本一致的阴性基质中,进行检出限的确定。每个浓度梯度重复检测,记录不同浓度检出的结果,采用适当的模型(如Probit分析)和分析方法,将具有95%阳性检出率的最低浓度水平作为确定的检出限。建议申请人采用孢子/mL作为菌株浓度的表示方式明确计数方法。除此之外,申请人还应确定LOD水平的CFU/mL浓度;采用数字PCR、标准曲线(通过标准物质或构建质粒绘制标准曲线)等方法进行菌株核酸浓度的确认,以copies/mL作为菌株浓度的表示方式。应明确每份菌株的来源、浓度、制备方法等信息。
1.5.2检出限的验证
建议使用至少5份不同来源的最低检测限水平的培养菌株,进行至少20次的重复验证,阳性检出率不低于95%。注册申请人应能够提供用于最低检测限验证的各个菌株的来源、制备方法及浓度等信息。
1.6分析特异性
1.6.1交叉反应
1.6.1.1交叉反应验证的病原体种类主要考虑以下几方面:近缘菌、易引起相同或相似的临床症状微生物、感染部位附近的定植菌等,研究样本具体见表1。
1.6.1.2建议在病毒和细菌感染的医学相关水平进行交叉反应的验证。通常,细菌感染的水平为106CFU/mL或更高。
1.6.1.3申请人应提供所有用于交叉反应验证的微生物的来源、种属/型别和浓度确认等试验资料。
表1 需进行交叉反应研究的病原体
|
曲霉 |
烟曲霉(A.fumigatus)、黄曲霉(A.flavus)、黑曲霉(A.niger)、米曲霉(A.oryzae)、土曲霉(A.terreus)、构巢曲霉(A.nidulans) (选择检测范围外的曲霉种) |
|
其他真菌 |
毛霉目(Mucorales)常见菌种(3~5种)、念珠菌属(Candida)常见菌种(3~5种)、赛多孢霉(Scedosporium)、耶氏肺孢子菌(Pneumocystis jirovecii)、新生隐球菌(Cryptococcus neoformans)、马尔尼菲篮状菌(Talaromyces marneffei)、镰刀菌属(Fusarium)(2~3种)、青霉属(Penicillium)常见菌种(2种) |
|
细菌 |
肺炎链球菌(Streptococcus pneumoniae)、流感嗜血杆菌(Haemophilus influenzae)、铜绿假单胞菌(Pseudomonas aeruginosa)、肺炎克雷伯菌(Klebsiella pneumoniae)、卡他莫拉菌(Moraxella catarrhalis)、金黄色葡萄球菌(Staphylococcus aureus)、鲍曼不动杆菌(Acinetobacter baumannii)、大肠埃希菌(Escherichiacoli) |
1.6.2干扰试验
应根据所采集样本类型,针对可能存在的内源/外源物质干扰情况进行验证。建议申请人在每种干扰物质的潜在最大浓度(“最差条件”)条件下进行试验,检测包含临界阳性水平在内的曲霉样本。对结果进行合理的统计分析,对比添加干扰物质前后的Ct值差异。检测的潜在干扰物包括样本中的原有物质及在样本采集和处理期间引入的物质。用于干扰试验研究的物质具体见表2。
表2 用于干扰试验研究的物质
|
类别 |
具体物质 |
|
内源物质 |
痰液和肺泡灌洗液: 血液、唾液、粘蛋白、白细胞等 |
|
活检组织: 血液、粘蛋白、白细胞等 |
|
|
抗真菌药物 |
两性霉素B、卡泊芬净、米卡芬净、三唑类(伏立康唑、伊曲康唑、泊沙康唑、艾沙康唑)、氟胞嘧啶等 |
|
其他抗菌药 |
左氧氟沙星、阿奇霉素、头孢曲松、美罗培南、利福平、异烟肼、阿莫西林等 |
|
吸入药物 |
硫酸沙丁胺醇、肾上腺素等 |
|
麻醉药 |
盐酸利多卡因等 |
|
样本采集和处理期间引入的物质(二硫苏糖醇、NaCl等) |
|
1.7核酸提取/纯化性能
在进行核酸检测之前,建议有核酸提取/纯化步骤。该步骤的目的为有效破环真菌细胞壁,分离出目的核酸,并应具有相应的纯化作用,尽可能去除PCR抑制物。
研究确定核酸提取方法,阐述核酸提取原理,提交提取方案选择研究资料。对配合使用的所有核酸提取试剂进行提取核酸纯度、浓度、提取效率的研究,并与质量较好的核酸提取试剂进行平行比对。若产品适用两种或以上核酸提取试剂,则每一种核酸提取试剂均需配合检测试剂至少进行抗干扰、再现性和检出限的验证,如果配套核酸提取试剂提取原理存在差异,还需额外进行检出限的建立研究。
1.8反应体系
1.8.1样本采集和处理
1.8.1.1样本采集方式的选择和样本采集量的要求。
1.8.1.2样本采集时间点的选择:是否受病程、临床症状、用药情况等因素的影响。
1.8.1.3样本处理方式的选择:研究样本适用的灭活方式,消化方式(如适用)、保存方式,包括样本用量、保存温度、时间等。
1.8.2核酸提取和反应体系
研究确定最佳核酸提取和反应体系,包括核酸提取用的样本体积、洗脱体积和PCR加样体积、各种酶浓度、引物/探针浓度、dNTP浓度、阳离子浓度及反应各阶段温度、时间、循环数等。
提交不同适用机型基线和阈值循环数的确定资料。不同适用机型的反应条件如果有差异应分别详述,并提交验证资料。
2.稳定性研究
申报试剂的稳定性主要包括实时稳定性(有效期)、运输稳定性、开瓶稳定性及冻融次数限制等研究,申请人可根据实际需要选择合理的稳定性研究方案。稳定性研究资料应包括具体的实施方案、详细的研究数据以及统计分析结论。对于实时稳定性研究,应提供至少三批产品在实际储存条件下保存至成品有效期后的研究资料。
3.阳性判断值研究
阳性判断值确定资料主要指对申报产品核酸检测的Ct值,即结果判断的临界值进行确认的资料。阳性判断值研究样本来源应为预期人群,如临床需要进行肺曲霉病诊断或鉴别诊断的病例,并考虑不同年龄、地域等因素,尽可能考虑样本来源的多样性、代表性,尽量纳入较多的弱阳性样本,以及一定数量的其他容易产生交叉反应的样本。对于曲霉属通用型核酸检测试剂应纳入不同曲霉种样本进行研究,并分别进行统计分析,建议研究的菌种类型与检出限研究要求相同。建议申请人采用受试者工作特征(ROC)曲线的方式确定申报试剂用于结果判断的临界值,明确检测结果判定依据,提交阳性判断值研究所用样本的背景信息列表,至少包括性别、年龄、临床诊断信息、样本来源机构、检测结果等信息。如判定值存在灰区,应提供灰区的确认资料。
另外,考虑建立阳性判断值时使用的临床样本对于目标人群的代表性,建议通过临床评价进一步验证和确认阳性判断值的准确性。
如果产品适用不同样本类型,需要对各样本类型进行阳性判断值的验证。
提供内标检测结果范围的确定方法和研究资料。
4.其他资料
4.1主要原材料研究资料
该类产品的主要原材料包括引物、探针、酶、dNTP、核酸分离/纯化组分(如有)、质控品、参考品等。应提供主要原材料的选择与来源、制备过程、质量控制标准等相关研究资料、质控品的定值试验资料等。如主要原材料为企业自制,应提供其详细制备过程;如主要原材料源于外购,应提供资料包括:选择该原材料的依据及对比筛选试验资料、供货方提供的质量标准、出厂检验报告,以及该原材料到货后的质量检验资料。供应商应进行必要的筛选或评价,供应商应固定,不得随意更换。(如该原料为平台通用原料,比如酶、dNTP等在其他项目上已筛选并平台通用,可直接进行验证。)
4.1.1引物和探针:应详述引物和探针的设计原则,提供引物、探针核酸序列、靶序列的基因位点及两者的对应情况。建议设计两套或多套引物、探针以供筛选,通过序列比对和功能性试验等方式,对产品检出限、包容性和特异性进行评价。通过筛选确定最佳的引物和探针组合。引物、探针的质量标准应至少包括序列准确性、纯度、浓度及功能性试验等。
4.1.2脱氧三磷酸核苷(dNTP):应提供对其纯度、浓度、功能性等的详细验证资料。
4.1.3酶:需要的酶主要包括DNA聚合酶、尿嘧啶DNA糖基化酶等,应分别明确酶性能的要求,对酶活性、功能性等进行评价和验证。
4.1.4质控品
试剂盒一般包含阴性质控品和阳性质控品。阳性质控品应采用灭活曲霉培养物。质控品需参与样本处理、核酸的平行提取和检测的全过程,以对整个提取和PCR扩增过程、试剂/设备、交叉污染等环节进行合理质量控制。提交试剂盒质控品有关原料选择、制备、定值过程、浓度范围等试验资料,对质控品的检测结果Ct值范围做出明确的要求。
4.1.5内标
内标,又称内对照,可对管内抑制导致的假阴性结果进行质量控制,应与靶核酸一同提取及扩增。申请人需对内标的引物、探针设计和相关反应体系的浓度做精确验证,既要保证内标荧光通道呈明显的阳性曲线又要尽量降低对靶基因检测造成的抑制。明确内标的检测结果Ct值范围。建议科学设置内标,对待测样本的取样质量、试剂的反应体系进行监控。
4.1.6企业参考品
该类产品的企业参考品一般包括阳性参考品、阴性参考品、检出限参考品和精密度参考品。应根据产品性能验证的实际需要设置企业参考品。
应提交企业参考品的原料来源、选择、制备、阴阳性及浓度确认方法或试剂等相关验证资料。企业参考品应采用临床样本,或者使用培养物加入阴性基质。呼吸道样本建议采用灭活的菌株加入模拟基质建立企业参考品。企业参考品的设置建议如下:
阳性参考品:应着重考虑不同来源的曲霉样本和滴度要求,应至少选取不同病例来源的3个曲霉种样本。对于曲霉属通用型核酸检测试剂,阳性参考品应至少包含烟曲霉、黄曲霉、黑曲霉、土曲霉,每个菌种包含不同病例来源的3个曲霉种样本。(参考品应设置不同浓度水平。)
阴性参考品:主要涉及对交叉反应的验证情况,建议包括定植部位相同、引发症状相近的其他病原体,包括检测范围外的曲霉种(烟曲霉、黄曲霉、黑曲霉、米曲霉、土曲霉、构巢曲霉)、毛霉目常见菌种、念珠菌属常见菌种、赛多孢霉、耶氏肺孢子菌、新生隐球菌、马尔尼菲篮状菌、镰刀菌属、青霉属。
检出限参考品:可采用95%阳性检出水平或略高于检出限的水平,如100%阳性检出水平。对于曲霉属通用型核酸检测试剂,应至少包含烟曲霉、黄曲霉、黑曲霉、土曲霉。
精密度参考品:应包含略高于检出限浓度水平的阳性样本。
4.2生产工艺研究资料
介绍产品主要生产工艺,可用流程图结合文字的方式表述。提交主要生产工艺的确定及优化研究资料。
(四)临床评价资料
该类试剂应通过临床试验路径进行临床评价。临床试验应符合《体外诊断试剂注册与备案管理办法》《医疗器械临床试验质量管理规范》和《体外诊断试剂临床试验技术指导原则》的要求,如相关法规、文件有更新,临床试验应符合更新后的要求。下面仅说明该类产品临床试验中应关注的重点问题。
1.临床试验机构
应选择具备相应条件且按照规定备案的医疗器械临床试验机构开展临床试验。肺曲霉病属于呼吸系统感染性疾病,建议申请人在呼吸系统疾病及传染病方面具有优势的临床机构开展临床试验。临床试验机构数量应不少于3家,且具有分子生物学方法检测的优势,试验操作人员应有足够的时间熟悉检测系统的各环节(仪器、试剂、质控及操作程序等),熟悉评价方案。在整个试验中,试验体外诊断试剂和对比方法均应处于有效的质量控制下,最大限度保证试验数据的准确性及可重复性。
2.临床试验方法
2.1与对比方法的比较研究
2.1.1对于已有同类产品上市的,临床试验应选择已上市的同类产品作为对比试剂,评价申报产品与已上市同类产品的一致性。对比试剂的选择应考虑检测的曲霉范围、适用的样本类型、产品性能等方面应与试验体外诊断试剂具有良好的可比性,选择已上市同类产品进行临床试验时,对比试剂配套使用的核酸提取试剂应满足其说明书要求。针对不一致样本处理,可采用其他已上市同类产品、病原体分离培养、测序等方法进一步确认。
2.1.2对于尚无同类产品上市的,申请人可采用试验体外诊断试剂与核酸序列测定(Sanger测序)方法进行对比试验,评价两种检测方法的一致性。同时还应进行部分与曲霉属分离培养鉴定的对比试验。以上两方面评价结果结合起来共同论证试验体外诊断试剂的临床性能。
临床试验资料中应对测序方法进行详细的介绍,应采用公认的靶基因进行测序,针对靶基因的选择应提供依据。明确检测过程中配套使用的核酸提取试剂,针对测序方法提交性能验证数据,证明测序方法与试验体外诊断试剂的可比性。如测序试验委托其他机构完成,还应提交由临床试验机构委托第三方机构/实验室开展相关试验的测序服务合同/协议,提交相关机构资质和选择依据。
2.2与临床参考标准的比较研究
在上述比较研究的基础上,申请人还收集病例的临床诊断信息,进一步评价申报产品在确诊病例、临床诊断病例、及其他病例中的检出性能。肺曲霉病诊断的临床参考标准可参考临床公认的侵袭性肺曲霉病、慢性肺曲霉病、变应性支气管肺曲霉病的诊断标准。
3.临床试验受试人群的选择
临床试验的受试人群应来自产品的预期适用人群,该产品的适用人群为临床需要进行肺曲霉病诊断或鉴别诊断的病例。
曲霉是条件致病性真菌,全身或局部免疫缺陷的人群易发生曲霉感染。临床试验入组人群应为易发生曲霉感染的人群如:粒细胞缺乏、血液系统恶性肿瘤、器官移植、遗传或获得性免疫缺陷等人群。肺曲霉亦可发生在慢性阻塞性肺部疾病、糖尿病等非粒细胞缺乏的人群,因此,临床试验也应涵盖上述人群。
病例入组过程中应考虑涵盖不同的肺曲霉病的患者,如侵袭性肺曲霉病、慢性肺曲霉病(单纯性肺曲霉球、慢性空洞性肺曲霉病、慢性纤维化性肺曲霉病、曲霉结节、亚急性侵袭性肺曲霉病)、变应性支气管肺曲霉病等。
申请人在进行临床试验时还应入组部分需要进行鉴别诊断的等其他真菌感染患者,此外临床试验应纳入部分病原体载量较低的病例(其中包括接受抗真菌治疗的患者)。
曲霉在自然界广泛分布,且仅有少数健康人感染曲霉后致病,临床试验不建议入组一般健康人群及机体免疫功能(状态)正常的人群。
4.临床试验样本类型
曲霉核酸检测可能涉及的样本类型包括痰液、肺泡灌洗液、组织样本等。临床样本的采集建议按照国家卫健委发布的相关实验室检测技术方案执行。
如申报产品适用于不同的样本类型,应针对不同样本类型分别进行临床性能评价,包括分别进行样本量的估算等。
5.临床试验样本量
建议以与对比方法的比较研究为基础进行样本量估算。临床试验阳性样本和阴性样本数量应分别满足统计学要求。针对与Sanger测序法或同类已上市产品的对比试验,可采用目标值法公式分别估算最低阳性和阴性样本例数。

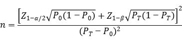
样本量估算公式如下,
公式中,n为样本量;Z1-α/2、Z1-β为显著性水平和把握度的标准正态分布的分数位,P0为评价指标的临床可接受标准,PT为申报产品评价指标预期值。
其中阳性符合率和阴性符合率的临床可接受标准(P0)建议不低于90%。临床试验结果中,相关评价指标的95%置信区间下限应不低于预设的临床可接受标准。当评价指标P接近100%时,上述样本量估算方法可能不适用,应考虑选择更加适宜的方法进行样本量估算和统计学分析,如精确概率法等。
对人类致病的曲霉最常见的是烟曲霉、其次是黄曲霉、黑曲霉、土曲霉和构巢曲霉等,针对曲霉属通用型核酸检测试剂,临床试验入组病例应至少能够涵盖临床常见的曲霉种:烟曲霉、黄曲霉、黑曲霉。
曲霉为具有细胞壁的真菌,核酸提取试剂的性能直接影响产品的检测性能。如申报产品配套多个核酸提取试剂,临床试验应以一种核酸提取试剂为主开展临床试验,其余配套核酸提取试剂应在不少于两家临床试验机构,选择不低于200例病例进行临床研究。入组病例中阴阳性病例的分配应能够满足评价产品性能要求。
6.临床试验结果的统计分析
临床试验结果一般以四格表的形式进行总结,并据此计算试验体外诊断试剂的灵敏度和特异度,或与对比方法的阳性/阴性符合率及其95%置信区间。
临床试验报告中应对入组受试者的基本情况进行分析,包括受试者年龄、性别的分布情况,以及临床诊断背景等。特别应针对用于特异性评价的各类受试者进行归类汇总,确认入组样本具有较好的代表性。临床试验中如涉及不同样本类型,应针对每种样本类型分别进行统计分析。
曲霉属通用型核酸检测试剂,应对每种曲霉检测的临床性能进行分层分析,不同曲霉间产品性能应不存在显著差异。
临床试验中所有不一致结果均应结合患者的流行病学背景、临床症状、临床诊断以及疾病治疗、转归等信息进行充分的分析。临床试验结果应能够证明产品临床性能满足临床要求。
7.境外临床试验数据的认可
境外临床试验数据应符合《接受医疗器械境外临床试验数据技术指导原则》和《使用体外诊断试剂境外临床试验数据的注册审查指导原则》的相关要求。提交完整的临床试验方案、报告和伦理审查意见,以及该数据适用于中国患者人群的论证资料、境内外临床试验质量管理差异的对比资料和临床试验质量管理差异对于临床试验结果影响的论证资料。
注册申请人应根据上述临床试验技术审评要求,论证境外临床试验数据的充分性。
8.临床证据的形式要求
申请人应按照《体外诊断试剂注册与备案管理办法》、《关于公布体外诊断试剂注册申报资料要求和批准证明文件格式的公告》等法规文件要求提交各机构伦理审查意见、临床试验方案、临床试验小结、临床试验报告以及临床试验数据库。
临床试验数据汇总表中应提供病例的临床诊断结果及支持病例临床诊断结果的信息。
9.其他注意事项
该类产品样本处理及核酸提取试剂会影响产品检测性能,临床试验在选择已上市同类产品进行临床试验时,特别注意,对比试剂配套使用的核酸提取试剂应满足其说明书要求。
(五)产品说明书和标签样稿
产品说明书格式应满足《体外诊断试剂说明书编写指导原则》的要求。产品说明书中技术内容应与注册申报资料中的相关研究结果保持一致,如某些内容引用自参考文献,应以规范格式进行标注,并单独列明文献的相关信息。曲霉核酸检测试剂说明书编写应重点关注以下内容。
1.【预期用途】
1.1本试剂盒用于体外定性检测需要进行xxx病诊断或鉴别诊断者的xxx样本(具体描述样本类型)中的曲霉属(或某一曲霉种DNA。
1.2临床上易发生曲霉感染的人群如:粒细胞缺乏、血液系统恶性肿瘤、器官移植、遗传或获得性免疫缺陷、慢性阻塞性肺部疾病、糖尿病等人群。
1.3简单介绍曲霉病原学特征、流行病学特征以及临床表现和现有诊断方法等。
1.4强调本试剂盒检测结果仅供临床参考,不得作为临床诊断的唯一标准。建议结合患者临床表现和其他实验室检测对病情进行综合分析。
2.【检验原理】
简述产品的核酸提取和PCR原理。明确内标基因名称及其作用。如采用了防污染措施,进行简要描述。
3.【主要组成成分】
明确试剂盒中各组分及具体成分。明确需要但未提供的材料,例如核酸提取试剂,样本保存液,样本消化液等的产品名称,生产厂家,货号或注册证号、备案号等信息。
4.【样本要求】
需详细描述样本采集、保存、运输和处理方式,包括采样步骤,采样量,保存液、消化液的使用体积,灭活方式等。描述样本及核酸提取液的保存稳定性。
5.【检验方法】
明确核酸提取用的样本体积、洗脱体积和PCR加样体积,阴、阳性质控品与待测样本同步进行核酸提取操作。明确各适用机型的反应参数设置。明确质控品和内标的检测结果Ct值范围,作为试验有效性的标准。
6.【阳性判断值】
简述阳性判断值确定的方法,包括研究人群特征、研究样本量和统计分析方法等。
7.【检验结果的解释】
通过扩增曲线和Ct值进行结果阴阳性的判断,列明结果阴性、阳性、复测、无效等所有情形。
8.【检验方法的局限性】
8.1本试剂盒的检测结果仅供临床参考,对患者的临床诊治应结合其症状/体征、病史、其他实验室检查及治疗反应等情况综合考虑。
8.2有关假阳性结果的可能性分析
8.2.1如果样本在运输、处理过程中发生交叉污染,则可能导致假阳性结果;
8.2.2试验环境有PCR产物等气溶胶污染,则可能导致假阳性结果;
8.2.3试验过程中使用的耗材、设备等受污染,则可能导致假阳性结果。
8.3有关假阴性结果的可能性分析
8.3.1不合理的样本采集、转运、储存及处理、样本中病原体含量过低均有可能导致假阴性结果;
8.3.2该病原体待测靶序列的变异或其他原因导致的序列改变可能会导致假阴性结果;
8.3.3未经验证的其他干扰或PCR抑制因子等可能会导致假阴性结果。
8.4本试剂盒不能区分真菌污染、定植和感染,应结合临床症状和其他检查结果综合判断。
9.【产品性能指标】
简述试剂性能指标和研究情况,建议包含:参考品的符合性、准确性、检出限、包容性、精密度、分析特异性、临床试验等。
10.【注意事项】
10.1试剂保存运输及使用过程中多种因素可能导致性能变化,如保存运输不当、样本采集、样本处理及检测过程操作不规范等,请严格按照说明书操作。
10.2生物安全防护相关内容
10.3避免实验室污染的措施
三、参考文献
[1]国家药品监督管理局.关于公布体外诊断试剂注册申报资料要求和批准证明文件格式的公告:国家药品监督管理局公告2021年第122号[Z].
[2]国家食品药品监督管理总局.体外诊断试剂说明书编写指导原则:国家食品药品监督管理总局公告2014年第17号[Z].
[3]国家药品监督管理局医疗器械技术审评中心.定性检测试剂分析性能评估注册审查指导原则:国家药品监督管理局医疗器械技术审评中心公告2022年第36号[Z].
[4]国家药品监督管理局 国家卫生健康委员会.医疗器械临床试验质量管理规范:国家药监局国家卫生健康委关于发布医疗器械临床试验质量管理规范的公告2022年第28号[Z].
[5]国家食品药品监督管理总局.接受医疗器械境外临床试验数据技术指导原则:食品药品监管总局关于发布接受医疗器械境外临床试验数据技术指导原则的通告2018年第13号[Z].
[6]国家药品监督管理局.体外诊断试剂临床试验技术指导原则:国家药品监督管理局通告2021年第72号[Z].
[7]国家药品监督管理局.使用体外诊断试剂境外临床试验数据的注册审查指导原则:国家药品监督管理局通告2021年第95号[Z].
站点声明:
本网站所提供的信息仅供参考之用,并不代表本网赞同其观点,也不代表本网对其真实性负责。图片版权归原作者所有,如有侵权请联系我们,我们立刻删除。如有关于作品内容、版权或其它问题请于作品发表后的30日内与本站联系,本网将迅速给您回应并做相关处理。
北京飞速度医疗科技有限公司专注于医疗器械、诊断试剂产品政策与法规规事务服务,提供产品注册申报代理、临床合同(CRO)研究、产品研发、GMP质量辅导等方面的技术外包服务。