24小时服务热线:19103801095
NEWS CENTER
Recommend case
contact us

本指导原则旨在指导注册申请人对弓形虫、风疹病毒、巨细胞病毒、单纯疱疹病毒抗体及G型免疫球蛋白(Immunoglobulin G, IgG)抗体亲合力检测试剂注册申报资料的准备及撰写,同时也为技术审评部门提供参考。
本指导原则是对弓形虫、风疹病毒、巨细胞病毒、单纯疱疹病毒抗体及IgG抗体亲合力检测试剂的一般要求,申请人应依据产品的具体特性确定其中内容是否适用,若不适用,需具体阐述理由及相应的科学依据,并依据产品的具体特性对注册申报资料的内容进行充实和细化。
本指导原则是供注册申请人和技术审评人员使用的指导性文件,但不包括审评审批所涉及的行政事项,亦不作为法规强制执行,应在遵循相关法规的前提下使用本指导原则。如果有能够满足相关法规要求的其他方法,也可以采用,但是需要提供详细的研究资料和验证资料。
本指导原则是在现行法规和标准体系以及当前认知水平下制定的,随着法规和标准的不断完善,以及科学技术的不断发展,本指导原则相关内容也将适时进行调整。
一、适用范围
弓形虫(Toxoplasma, TOXO)、风疹病毒(Rubella virus, RV)、巨细胞病毒(Cytomegalovirus, CMV)及单纯疱疹病毒(Herpes simplex virus, HSV)四种病原体(以下简称“ToRCH”)已引起围产医学家和优生优育学家的关注,如何应用应基于大量的研究及相关学科的诊疗指南。
本指导原则适用于采用免疫学方法,如酶联免疫法、化学发光法、免疫层析法等,对人体血清、血浆、静脉全血样本中的ToRCH特异性抗体进行体外定性和/或半定量和/或定量检测的试剂。结合临床表现和其他实验室指标,可用于ToRCH感染辅助诊断。同时也适用于对ToRCH特异性IgG抗体阳性的人血清和/或血浆和/或静脉全血样本中ToRCH特异性IgG亲合力进行体外定性检测的试剂,用于辅助判断感染时间,排除近期原发性感染。本类试剂尚不用作产前筛查。对基于其他方法学的试剂,可能部分要求不完全适用或本文所述内容不够全面,申请人可以参照本指导原则,根据产品特性对适用部分进行评价或补充其他的评价资料进行相应验证。
本指导原则适用于弓形虫、风疹病毒、巨细胞病毒、单纯疱疹病毒抗体及G型免疫球蛋白抗体亲合力检测试剂注册申请和变更注册申请的情形。本指导原则针对相关产品注册申报资料中的部分内容进行撰写,其他未尽事宜应当符合相关法规要求。
二、注册审查要点
(一)监管信息
1.产品名称及分类编码
产品名称应符合相关法规的要求。根据《体外诊断试剂分类规则》,该产品按照第三类体外诊断试剂管理,分类编码为6840。
2.其他信息还包括产品列表、关联文件、申报前与监管机构的联系情况和沟通记录以及符合性声明等文件。
(二)综述资料
综述资料主要包括概述、产品描述、预期用途、申报产品上市历史及其他需说明的内容。其中,产品描述应详述技术原理、产品主要研究结果的总结和评价、与同类和/或前代产品的比较等。与同类和/或前代产品的比较应着重从技术原理、特异性抗原等主要组成成分、预期用途、性能指标、临床应用情况等方面写明拟申报产品与目前市场上已获批准的同类产品之间的主要区别。
另外,建议申请人对以下几方面内容进行着重介绍:
1.特定病原体的生物学特性,包括形态与结构、抵抗力、感染过程等。
2.特定病原体感染的传播途径、潜伏期、不同人群感染的临床症状、流行病学以及易感人群的说明。
3.ToRCH特异性抗体及特异性IgG抗体亲合力动力学。
(三)非临床资料
1.产品技术要求及检验报告
注册申请人应当在原材料质量和生产工艺稳定的前提下,根据产品研制、前期评价等结果,依据国家标准、行业标准及有关文献资料,结合产品特性按照《医疗器械产品技术要求编写指导原则》的要求编写。该类产品作为第三类体外诊断试剂,应当以附录形式明确主要原材料以及生产工艺要求。
第三类体外诊断试剂应当提供三个不同生产批次产品的检验报告。如该项目已有国家标准品,技术要求中应体现国家标准品的相关要求,并使用国家标准品进行检验。
可提交以下任一形式的检验报告:
(1)申请人出具的自检报告。
(2)委托有资质的医疗器械检验机构出具的检验报告。
如果拟申报试剂已有相应的国家/行业标准发布,则性能指标要求不得低于上述标准要求。
2.分析性能评估资料
注册申请人应提交在符合质量管理体系的环境下生产的试剂盒进行的所有分析性能评估资料,包括具体研究方法、试验方案、试验数据、统计分析等详细资料。有关分析性能评估的背景信息也应在申报资料中进行描述,包括试验地点,采用的试剂名称、规格和批号,仪器名称和型号,样本类型和来源等。分析性能评估的试验方法可以参考国际或国内有关体外诊断试剂性能评估的指导原则进行,对于本类产品建议着重对以下分析性能进行研究。
2.1样本稳定性
样本稳定性一般包括样本各种实际运输及储存(常温、冷藏和冷冻)条件下的保存期限验证,以确认样本的保存条件及保存时间。可以在合理的温度范围内,每间隔一定的时间段即对储存样本进行验证,从而确认不同类型样本的稳定性。需要冷冻保存的样本应对冻融次数进行合理的验证。如果需对采集后的样本进行处理再进行检测,需提供样本处理前后的稳定性的研究。
2.2适用样本类型
如果试剂适用于多种样本类型,应采用合理方法评价每种样本类型的适用性。对具有可比性的样本类型(如血清和血浆),可采用同源比对研究,对源自同一患者的不同类型的样本进行检测,以验证检测结果的一致性,样本量应具有统计学意义,建议不低于50例;对于不具有可比性的样本类型,应对每种样本类型分别进行分析性能评估。
如果试剂盒的样本类型(如:血浆、全血样本)适用多种抗凝剂,可采用一定数量同源样本通过比对试验的方法,验证各种抗凝剂的适用性。
2.3校准品的量值溯源和质控品的赋值
如包含校准品,需提供校准品的量值溯源研究资料。
描述质控品的赋值(如适用)。需至少进行三批产品分别在不同适用机型的赋值研究。
2.4准确度/正确度
可采用申报试剂与对比方法(如:已上市产品)同时对一定数量的临床样本进行方法学比对研究,评价检测结果的一致性;也可以通过检测参考品(盘)分析申报产品检测结果与经确认结果的符合情况,评价申报产品的准确度,参考品(盘)应经诊断准确度标准/其他成熟方法检测确认过或有准确临床诊断信息;对于有参考物质(国际参考物质、国家标准品)的定量项目,也可使用参考物质评估试剂检测结果的偏倚。
2.5精密度
应对精密度指标的评价标准做出合理要求,如标准差、变异系数或显色强度等,针对本类产品的精密度评价主要包括以下要求。
2.5.1对可能影响检测精密度的主要变量进行验证,包括不同时间、地点、操作者、检测轮次、试剂批次、适用仪器(如适用)等。
2.5.2设定合理的精密度评价周期,例如:为期至少20天的检测,每天至少由2人完成不少于2次的完整检测,并对批内/批间、日内/日间以及不同操作者之间的精密度进行综合评价。
2.5.3用于精密度评价的临床样本应至少包含阴性样本、检出限阳性样本以及中/强阳性样本三个水平。
2.6空白限、检出限和定量限
2.6.1 ToRCH特异性抗体定性检测项目
建议采用已明确ToRCH特异性抗体滴度的临床阳性样本,通过系列稀释,进行检出限的建立和验证。应采用合理方法确认临床样本的抗体类型和滴度,提供详细的确认方法及结果。
选取至少3份临床阳性样本,系列稀释获得多个浓度梯度,每个浓度重复检测不少于3次,以100%可检出的最低浓度水平作为预设检出限。在此浓度附近制备若干浓度梯度样品,每个浓度至少重复检测20次,将具有95%(n≥20)阳性检出率的最低浓度作为检出限。另选取与上述不同的3份临床样本,稀释到检出限浓度水平进行验证,应达到95%(n≥20)阳性检出率。
可给出连续量值信号的ToRCH特异性抗体定性检测项目,如基于酶联免疫吸附技术的检测试剂采用吸光度响应区别“有反应”和“无反应”结果。对于此类检测检测项目,也可参考以下内容设定空白限和检出限。
2.6.2 ToRCH特异性抗体定量或半定量检测项目
对于可溯源至有量值的国际或国家标准品的定量检测项目和半定量检测项目,可参考国内外相关文件对空白限、检出限以及定量限进行建立及验证。
空白限、检出限和定量限的建立及验证应分别选择多份样本在多天内对样本进行重复测量,需综合各种影响因素进行试验设计并选择合适的方法对数据进行分析。
建立和验证采用的临床样本不应重复。如有其他科学合理的评价方法,也可进行选择。
2.7抗体滴度变化(适用于半定量和/或定量检测项目)和诊断灵敏度
2.7.1 ToRCH抗体检测试剂
介绍血清转换盘的组成和来源。检测血清转换盘,用于评价检测试剂的诊断灵敏度及监测抗体滴度变化趋势的能力。对于TOXO、RV等已有商业化血清转换盘的检测项目,建议选用商业化血清转换盘进行研究;对于部分无商业化血清转换盘的检测项目,可选择合理的方法,如将标化的血清样本稀释等,对抗体滴度变化及诊断灵敏度进行评价。
2.7.2 ToRCH IgG抗体亲合力检测试剂
对急性感染(3~4个月内)和既往感染样本进行研究,样本可来自于血清转化盘或基于临床诊断的临床样本,以评价临床诊断灵敏度。
2.8分析特异性
2.8.1交叉反应
应对ToRCH的近缘病原体、易引起相同或相似的临床症状及易合并感染的病原体(见表1)感染病人的高水平特异性抗体样本进行交叉反应研究。此外,还应对高浓度病原体特异性IgG抗体与特异性IgM抗体的交叉反应进行验证。
如果检测试剂采用基因重组抗原,应增加对重组基因导入微生物特异性抗体的交叉反应评价。例如,采用大肠埃希菌作为宿主菌进行重组抗原的表达,建议考虑大肠埃希菌宿主自身蛋白以及载体骨架编码的蛋白与被测物之间可能产生的交叉反应。
交叉反应用临床样本中相关病原体抗体滴度水平应较高,并且抗体类型(IgM、IgG)应与申报试剂检测抗体类型一致,如检测ToRCH IgG抗体,则应研究其与相关病原体特异性IgG抗体的交叉反应。申请人应提交所有用于交叉反应验证的病原体抗体阳性样本的来源、阴阳性和滴度确认等信息。
表1 用于交叉反应研究的病原体
|
微生物 |
|
其他ToRCH病原体* |
|
E-B病毒* |
|
细小病毒B19 |
|
乙型肝炎病毒* |
|
甲型肝炎病毒* |
|
水痘-带状疱疹病毒* |
|
甲型流感病毒 |
|
乙型流感病毒 |
|
副流感病毒 |
|
肺炎支原体* |
注:*标注的为必做项目
2.8.2干扰研究
应根据所采集样本类型,选择适用的干扰物质进行研究。说明样本的制备方法及干扰研究的评价标准,确定可接受的干扰物质的极限浓度。
建议在每种干扰物质的潜在最大浓度(“最差条件”)下,采用待测抗体为弱阳性和阴性水平的多例样本进行试验,应至少包括下列可能的干扰物质。
2.8.2.1内源性干扰物质:总IgG、总IgM、胆红素、血红蛋白、甘油三酯、自身免疫性抗体(抗核抗体、类风湿因子、抗线粒体抗体等)、异嗜性抗体(如:HAMA)、高浓度ToRCH特异性IgG抗体与特异性IgM抗体的干扰。
2.8.2.2常见治疗性药物:请依据检测项目选择合适的治疗药物进行干扰研究。对于CMV抗体检测试剂建议纳入更昔洛韦、缬更昔洛韦等药物进行干扰研究;对于弓形虫抗体检测试剂建议评价乙酰螺旋霉素、乙胺嘧啶、磺胺嘧啶、甲酰四氢叶酸等常见治疗药物的影响;对于单纯疱疹病毒抗体检测试剂建议纳入阿昔洛韦、伐昔洛韦等干扰物质评价。
2.8.2.3如适用全血样本,应评价红细胞压积对检测结果的影响。
2.9 ToRCHIgM抗体破坏试验
可采用对至少5份含有ToRCH特异性IgM抗体的样本进行IgM破坏试验研究,方法为采用特定的化学制剂(如2-巯基乙醇或二硫苏糖醇)处理样本后,重新进行检测,IgM检测结果应为阴性。
2.10钩状(HOOK)效应
须采用多份高滴度的ToRCH特异性抗体样本进行梯度稀释后由低浓度至高浓度开始检测,每个梯度的稀释液重复3~5次,对钩状效应进行合理的验证。
2.11包容性
应选择来源于不同时间、不同地域的多份经合理方法确定的ToRCH特异性抗体阳性临床样本进行检测,检测项目如存在不同型别(如:HSVⅠ型和Ⅱ型),建议对所有型别进行验证,验证内容应包括重复性、检出限等,检测结果应满足接收标准,需提供样本性质、型别及浓度的确认方法、试验数据等支持性资料。
2.12线性区间及可报告区间(适用于半定量和定量项目)
线性区间的研究,需采用高浓度样本和阴性样本/低浓度样本配制一系列不同浓度的样本。当建立试剂的线性区间时,需配制较预期线性区间更宽的9个左右不同浓度的样本(不包括阴性样本),每个样本进行多次重复检测,根据可接受线性偏差和各浓度的重复性,确定检测次数。采用重复检测均值和预期值进行回归分析。当验证试剂的线性区间时,需配制覆盖整个线性区间的至少5个不同浓度的样本,每个样本至少重复检测2次。建议采用加权最小二乘回归等方法对检测结果进行回归分析,提供散点图、线性回归方程、相关系数及线性偏差等,结果应满足可接收标准。
测量区间,也称分析测量区间,在该区间内,临床样本在未经稀释、浓缩,或非常规测量程序中步骤的其他前处理情况下,检测结果的线性偏差、不精密度和偏倚均在可接受范围内。测量区间下限为定量限,线性区间包含测量区间。
如对超出测量区间的样本可进行稀释后检测,应采用合适的方法确定试剂的稀释倍数和稀释液(如适用),从而确定试剂的可报告区间。稀释倍数的研究可采用多份高浓度临床样本进行梯度稀释,计算稀释样本的浓度并与稀释系数相乘以计算未稀释样本的浓度,比较计算所得抗体浓度与已知值之间的差异。
2.13反应体系研究
2.13.1反应条件确定
申请人应考虑反应时间、反应温度、洗涤液体积和洗涤次数、判读时间(如适用)等条件对产品性能的影响,通过试验确定上述条件的最佳组合。
2.13.2反应体系中样品加样方式及加样量确定
通过试验确定最佳的加样方式及加样量。如样本需采取稀释或其他必要的方法进行处理后方可用于最终检测,申请人还应对样本稀释液及其用量、其他必要的处理方法等进行研究。对于IgM抗体检测试剂,如采用间接法,建议考虑高浓度特异性IgG对结果的影响,合理设置IgG去除相关样本处理步骤,以降低特异性IgG可能造成的假阴性和假阳性。
应对样本是否可以灭活,以及可采用的灭活方式、灭活时间进行研究确定。
3.稳定性研究资料
申请人可根据实际需要选择合理的稳定性研究方案。稳定性研究资料应包括研究方法的确定依据、具体的实施方案、详细的研究数据以及结论。
3.1实时稳定性研究
提交至少三批申报产品在实际储存条件下保存至成品有效期后的研究资料。明确储存的环境条件(如温度、湿度和光照)及有效期。
3.2使用稳定性
提交申报产品实际使用期间稳定性的研究资料,应包括所有组成成分的开封稳定性。适用时提交复溶稳定性、机载稳定性及冻融次数研究资料等。如涉及校准品,还应提交校准频率或校准稳定性研究资料。明确产品使用的温度、湿度条件等。
3.3运输稳定性
提交申报产品可在特定或者预期的条件下运输的研究资料,应说明产品正确运输的环境条件(如温度、湿度、光照和机械保护等)。同时说明产品的包装方式以及暴露的最差运输条件。注意应考察经过运输条件后实时稳定性。
4.阳性判断值研究
提交对申报试剂阴性/灰区/阳性等结果判断的阳性判断值(cut-off,CO)确定的研究资料,应包括具体的试验方案、人群及样本选择、评价标准、统计学分析和研究数据等。建立CO值的样本选择应考虑到地域性、季节、不同的感染阶段和生理状态等因素的影响,并纳入一定数量的弱阳性样本。
建议采用受试者工作特征曲线(receiver operating characteristic curve, ROC)的分析方式来选择确定合理的CO值,如试验结果分析存在灰区(equivocal zone),则应明确灰区建立的基础。
对于采用酶联免疫分析技术的检测试剂,在各检测条件固定的情况下,申请人也可以采用确定临界值的常用方法,通过:①确定CO值中的n数值(CO值=阴性样品平均A值+n×标准偏差);②确定阴性样品A值的标准差;③临床样本CO值的验证;这三个步骤检测并计算确定试剂盒的CO值。
如产品适用多个样本类型,应明确CO值在不同的样本类型是否存在差异,如有差异,应分别进行CO值的确定。
5.其他资料
5.1主要原材料研究资料
此类产品的主要原材料一般包括抗原、抗体、质控品和/或校准品、企业参考品等。应提供主要原材料的选择与来源、制备过程、质量控制标准等相关研究资料。如主要原材料为企业自制,应提供其详细的制备、鉴定和质量控制过程;如主要原材料源于外购,应提供资料包括:选择该原材料的依据及对比筛选试验资料、供应商提供的质量标准、出厂检测报告以及该原材料到货后的入厂检验报告。
5.1.1抗原
应注重抗原选择,详细描述抗原的名称、生物学来源、天然/重组表达信息及选择该抗原的依据。提交抗原来源、制备过程、筛选及质量标准(外观、蛋白浓度、纯度、分子量、功能性试验等)等详细试验资料。
如抗原为企业自制,需提供以下资料:如为天然抗原,则应对病原体毒株选择、病原体培养、抗原提取及纯化、鉴定等试验过程予以详述并提供相应研究资料;如为重组抗原,则应提交有关特定基因选择、基因序列、克隆构建及转化、抗原表达及纯化、鉴定等详细试验资料,重组抗原应明确与天然抗原结构的异同。
5.1.2抗体
详述抗体的选择过程,提交抗体的名称、生物学来源、免疫原及质量标准(外观、蛋白浓度、纯度、分子量、效价、功能性试验等)等详细试验资料。
如抗体为企业自制,需提供以下资料:如使用天然抗原作为免疫原则应明确该天然抗原的来源;如使用重组抗原或其他人工合成抗原作为免疫原,应提供相应的核酸组分及重组抗原的序列信息。
5.1.3其他主要原材料
除上述主要原材料外,产品中包含的其他原料,如固相载体、化学发光剂、样本缓冲液等,均应提交原料的选择及验证资料。明确原料的供应商和质量控制标准。免疫层析方法学的产品如适用于全血,应介绍血细胞去除方式及相关原材料,并验证去除效果。
5.1.4质控和/或校准品
校准品应溯源至现行的国家或国际参考品(如有),质控品应至少包含阴性和阳性两个水平。校准品和质控品基质应与待测样本相同或相似。应提交相关原料的来源、选择和阴、阳性确认等相关研究资料,详述质控品和/或校准品的制备过程,明确供应商和质量控制标准。企业应对质控品的检测结果做出明确的范围要求(试验有效性的判断)。
免疫层析方法学的产品应设置质控线,详述质控线相关原材料(例如羊抗鼠IgG多克隆抗体)的选择依据和质量标准。
5.1.5企业参考品
应提交企业参考品的原料来源、选择、制备、阴阳性及浓度/滴度确认方法或试剂(建议采用国内已上市的、临床上普遍认为质量较好的同类试剂)等相关研究资料并对企业参考品进行充分验证。企业参考品的基质应与待测样本相同。
该类产品的企业参考品一般包括:阳性参考品、阴性参考品、检出限参考品、重复性参考品、亲合力参考品等,申请人应根据产品特性及适用情况科学设置。其中阳性参考品重在评估产品的包容性,应选择不同来源的临床样本,并设置不同滴度水平。阴性参考品应可评价产品的特异性,除设置正常人血清/血浆样本外,还应包含可能的干扰(溶血、脂血、黄疸及自身免疫性疾病样本)和交叉样本,对于检测ToRCHIgM抗体的试剂,阴性参考品中建议包括ToRCHIgG抗体阳性样本。检出限参考品可设置临床阳性样本的系列稀释样本,其中应包含最低检出限水平。重复性参考品可设置至少两个水平的临床阳性样本,包括最低检出限附近浓度。亲合力参考品一般包括高浓度亲合力参考品、低浓度亲合力参考品等,对于同时检测ToRCHIgM和IgG抗体的试剂,企业参考品需对IgM抗体和IgG抗体分别设置。
5.2生产工艺研究资料
5.2.1产品基本反应原理介绍。
5.2.2主要生产工艺介绍,可用流程图方式表示,并简要说明主要生产工艺的确定依据。
5.2.3包被/标记工艺研究,申请人应考虑如包被/标记液量、浓度、时间、条件等指标对产品性能的影响,通过试验确定上述指标的最佳组合。
5.2.4显色(发光)系统、酶作用底物等的介绍以及最适条件研究。
(四)临床评价资料
对于免于进行临床试验的临床评价检测项目,临床评价可参照《免于临床试验的体外诊断试剂临床评价技术指导原则》相关内容开展研究,如相关法规、文件有更新,临床评价应符合更新后的要求。
对于未在《免于临床试验体外诊断试剂目录》的产品,应进行临床试验。其临床试验的开展、方案的制定以及报告的撰写等均应符合相关法规及《体外诊断试剂临床试验技术指导原则》的要求,如相关法规、文件有更新,临床试验应符合更新后的要求。
1.临床试验方法
临床试验可采用试验体外诊断试剂与临床普遍认为质量较好的已上市同类产品进行比较研究试验,证明两者等效,从而间接证明试验用体外诊断试剂临床性能满足预期用途的要求。对比试剂在预期用途、适用人群、样本类型、检测性能等方面应与试验用体外诊断试剂具有较好的可比性。临床试验方案中应针对对比试剂的选择及依据进行详细描述。
2.受试者选择及样本收集
临床试验方案中应根据试验体外诊断试剂的预期用途、适用人群和检测要求等合理确定临床试验受试者选择要求,包括:受试者入组/排除标准等。
根据产品临床验证的目的,入组人群应选择具有ToRCH感染症状/体征的人群、与传染源有密切接触史的人群、育龄妇女及孕妇作为研究对象。
应适当纳入感染症状相似、易混淆的其他病原体感染患者及自身免疫性疾病患者。
临床样本的采集、处理、保存等应分别满足临床试验中所涉及各产品说明书相关要求。
对于CMV等ToRCH病原体IgG抗体亲合力检测,其临床适用人群应为疑似原发性感染的人群。入组方式可选择ToRCH特异性IgM和ToRCH特异性IgG抗体同时为阳性的样本作为亲合力检测的入组样本。建议在临床报告的试验设计和研究结果中对入组样本的筛选入组过程进行详细描述。
3.临床试验机构数量及要求
该类产品临床试验应在三家及以上符合要求的临床试验机构开展。申请人应根据产品特点及其预期用途,综合流行病学背景,选择具有一定地域代表性的机构开展临床试验。
4.样本类型
ToRCH抗体及G型免疫球蛋白抗体亲合力检测试剂适用的样本类型一般包括血清、血浆和静脉全血。
如申报产品所适用的样本类型同时包含血清、血浆,且临床前研究证实检测性能没有差异(如血清、血浆),则临床试验中可汇总统计。对于静脉全血样本类型,建议进行同源比对。
5.临床试验样本量估算
适当的样本量是保证申报产品临床性能得到准确评价的必要条件。临床试验样本量应满足统计学要求,可采用适当的统计学方法进行估算。
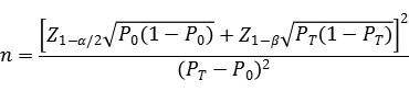
当采用申报产品与已上市同类产品进行对比试验时,可采用单组目标值法样本量公式估算最低样本量。
公式中,n为样本量;Z1-α/2、Z1-β为显著性水平和把握度的标准正态分布的分数位,P0为评价指标的临床可接受标准,PT为试验用体外诊断试剂评价指标预期值。
对于ToRCH病原体抗体检测试剂的临床阴/阳性符合率,基于目前的科学认识,建议P0不低于90%。当选定的产品的符合率预期值(PT)远高于预期目标值时,应采用其他的方法进行样本类的估算。当评价指标P接近100%时,上述样本量估算方法可能不适用,应考虑选择更加适宜的方法进行样本量估算,如精确概率法等。
对于ToRCH病原体G型免疫球蛋白抗体亲合力检测试剂的临床高/低亲和性符合率,基于目前的科学认识,建议P0不低于90%。当选定的产品的符合率预期值(PT)远高于预期目标值时,应采用其他的方法进行样本类的估算。当评价指标P接近100%时,上述样本量估算方法可能不适用,应考虑选择更加适宜的方法进行样本量估算。

对于ToRCH特异性IgG定量检测试剂,样本待测物浓度应覆盖检测范围,并在各个浓度水平均应有一定量的样本例数。
临床试验样本量除需满足上述统计学估算的最低样本量要求外,还应保证入组病例覆盖受试者的各种特征;临床试验样本应包含一定数量的医学决定水平附近样本或灰区样本。
6.临床评价指标的选择与统计分析
临床评价指标应在临床试验的设计阶段确定,并在临床试验方案中予以明确。
对于ToRCH抗体检测试剂,临床评价指标主要包括试验体外诊断试剂与已上市同类产品相比的阳性符合率、阴性符合率等。统计分析一般以2×2四格表的形式总结两种分析方法的检测结果,并据此计算阳性符合率、阴性符合率、总符合率、Kappa值等指标及其95%置信区间。结果不符样本的复核结果不应纳入上述统计。对于申请半定量意义的检测试剂,其对比试验的等效性研究,应在上述统计分析的基础上,根据临床试验数据分布特点,采用Pearson相关系数等统计方法对考核试剂检测值与对比试剂检测值线性相关关系进行分析。申请定量意义的IgG检测试剂,比如风疹病毒IgG检测试剂,评价指标通常还包括回归分析的回归系数、截距、相关系数和决定系数等。根据临床试验数据绘制散点图,并进行相关性分析。并采用Bland-Altman法,计算一致性限度,评价两种检测结果的一致性。一致性限度应在临床所能接受的界值范围内。还应采用回归分析对两种检测方法的一致性进行评价。根据数据分布特点等因素选择适用的回归分析方法,回归分析应重点观察回归方程的回归系数和截距等指标,计算回归系数和截距的置信区间。同时对相关评价指标进行假设检验。
对于ToRCH病原体G型免疫球蛋白抗体亲合力检测试剂,临床评价指标主要包括试验体外诊断试剂与已上市同类产品相比的高亲和性符合率、低亲和性符合率等。统计分析一般以2×2四格表的形式总结两种分析方法的检测结果,并据此计算高亲和性符合率、低亲和性符合率、总符合率、Kappa值等指标及其95%置信区间。
7.结果不符的样本
对于比较研究试验中申报产品与对比产品结果检测不一致以及量值差异较大的情况,应进行合理的分析。如采用实验室参考方法或第三方检测试剂进行确认,结果不应用于修订原有统计结果。
(五)产品说明书和标签样稿
产品说明书格式应符合《体外诊断试剂说明书编写指导原则》的要求,境外试剂的中文说明书除格式要求外,其内容应尽量保持与原文说明书的一致性,翻译力求准确且符合中文表达习惯。产品说明书的技术内容应与注册申报资料中的相关研究结果保持一致,如某些内容引用自参考文献,则应以规范格式对此内容进行标注,并单独注明文献的相关信息。
ToRCH特异性抗体和IgG抗体亲合力检测试剂说明书编写应重点关注以下内容:
1.【预期用途】应至少包括以下几部分内容:
1.1试剂盒用于体外定性和/或半定量和/或定量,检测人血清和/或血浆和/或静脉全血样本中xx的特异性IgG或IgM抗体。用于ToRCH病原体感染的辅助诊断。
1.2试剂盒用于体外定性检测人体血清和/或血浆和/或静脉全血样本中xx的特异性IgG亲合力。作为ToRCH抗体检测的一种补充,用于辅助判断感染时间,排除近期原发性感染。
1.3简单介绍病原体的特征,如特定病原体的生物学特征、流行病学、潜伏期、易感人群、不同人群感染后的临床表现等临床背景相关的信息介绍;适用人群的介绍,如具有何种症状/体征的患者、相关的密切接触者、相关疾病流行情况、地域要求等。
1.4人群中ToRCH特异性抗体的阳性率、ToRCH特异性抗体的产生、持续时间、临床提示作用及与ToRCH核酸和抗体亲合力等其他检测指标的关联。
1.5明确说明ToRCH特异性IgM抗体检测不得用于无症状人群的产前筛查;不得将本试剂的检测结果单独作为终止妊娠的依据。
1.6特异性IgG抗体的亲合力检测试剂还应介绍亲合力动力学,亲合力高低与感染时间的关系,并明确不得将本试剂IgG抗体的低亲合力结果单独作为近期急性感染判断的依据。
1.7关于预期用途的几点考虑:
1.7.1 ToRCH抗体检测试剂作为病原体抗体检测试剂,目前的临床意义仅限于抗体阴阳性及IgG抗体亲合力高低的判断和病原体特异性IgG抗体滴度变化趋势的观察。
1.7.2定量检测试剂可溯源至国家或国际标准品如WHO标准品等标准品。鉴于现在国际标准品的情况和临床需求,建议ToRCH IgM检测试剂的预期用途定义为定性检测。
1.7.3抗体亲合力检测项目的确定,应建立在明确的临床意义和技术可行性基础上。
2.【适用仪器】
对于采用酶联免疫吸附法的检测试剂应明确适用酶标仪的波长要求,其他方法学检测试剂应明确具体的适用仪器型号。
3.【样本要求】重点明确以下内容:
3.1对于ToRCH病原体IgM抗体检测试剂,如果检测系统含有某种IgG抗体的去除技术(IgG吸附剂),如抗人IgG抗体等,则应包括IgG吸附剂使用相关的注意事项。例如:经IgG吸附剂处理的样本不能用于IgG类抗体的检测;在检测IgM类抗体的同时,检测处理过的混合物中的IgG类抗体,以证实对IgG和类风湿因子(RF)等去除的有效性。
3.2对于IgG抗体亲合力检测试剂应明确适用的特异性IgG抗体阳性样本的浓度范围或信号值范围。
4.【检验方法】详细说明试验操作的各个步骤:
4.1检测试剂及样本的复温要求及相关注意事项。例如:冻存样本在复融后应经过充分的混匀再行检测。
4.2试剂配制方法、注意事项,试剂开封后使用方法及注意事项等。
4.3高浓度样本稀释的方法及注意事项。
4.4试验条件:操作步骤、温度、时间、仪器波长以及试验过程中的注意事项等。
4.5定标(如适用):标准曲线的制定,对需要进行重新定标情况的说明及对定标周期的建议。
4.6质量控制:操作步骤,质控结果的要求(试验有效性的判断),质控结果不符合要求的处理方式。如果质控品和病人样本的使用方法不同,生产商应注明必要的指导和解释。建议在质控品结果解释环节注明以下字样:“如果质控结果与预期不符,实验室不应出具检测报告”。
5.【检验结果的解释】
详细描述检测结果的判定标准或计算方法。对阴阳性及血清转换或亲合力高低临床意义的说明,对后续试验的建议。例:对于巨细胞病毒IgG抗体检测灰区样本,建议另外进行巨细胞病毒IgM抗体检测或于2周后进行重复检测;对于IgG抗体亲合力灰区样本,应于2周后进行重复检测。对于半定量和定量的特异性IgG抗体检测试剂,还应明确抗体滴度变化的意义。由于ToRCH IgM假阳性结果可能造成不良后果,建议提示临床医生对所有ToRCH IgM阳性结果应结合临床病史及其他的检测结果综合判断,不得作为ToRCH急性感染诊断的唯一依据。
对于ToRCH IgG定量检测试剂,由于抗体的检测结果与检测方法及量值的溯源性相关,不同检测系统间的结果可能不一致。建议企业给予相关提示。
对于IgG抗体亲合力检测试剂,还应明确指出应配合相应的ToRCH IgG和IgM抗体检测试剂结果进行分析。应提示:临床医生检测的低亲合力结果不得作为近期急性感染判断的依据。
6.【检验方法局限性】
综合产品的预期用途、临床背景、检测方法及适用范围等信息,对可能出现的局限性进行相关说明,主要包括以下描述,请申请人选择适用的条款在产品说明书中予以阐述。
6.1本产品检测结果仅供临床参考,不应作为临床诊治的唯一依据,对患者的临床诊断应结合其症状/体征、病史、流行病学、其他实验室检查(如病原学检测)等信息综合考虑。
6.2感染初期,ToRCH特异性抗体未产生或低于检出限,会导致阴性结果,如怀疑有病原体感染,应提示患者在一段时间内复查,如2周以上,抽取第二份样本,并在与第一份样本同条件下时进行检测,以确定是否有初次感染的血清转化或ToRCH特异性IgM或IgG抗体明显升高。(企业应注明第一份样本的保存条件,并提交相应的支持资料)
6.3ToRCH特异性IgG阴性,可能出现于疾病急性感染的早期,阴性结果应结合临床症状或病原接触情况,并结合其他诊断检测方法加以解释。
6.4对于采用间接法的ToRCH IgM抗体检测试剂,高滴度ToRCH特异性IgG抗体会与特异性IgM抗体竞争抗原结合部位,会使检测的敏感性降低,特异性IgM抗体结果可能会出现假性低值或阴性结果。
6.5由于孕妇ToRCH IgM抗体的实验室检查存在较高的假阳性风险,不能可靠地鉴定胎儿患病的风险,故不建议对无症状孕妇的ToRCH IgM抗体进行筛查。不得将本试剂的检测结果单独作为终止妊娠的依据。
6.6免疫功能受损或接受免疫抑制治疗的患者,如人类免疫缺陷病毒(HIV)感染患者或器官移植后接受免疫抑制治疗的患者,其抗体及抗体亲合力检测的参考价值有限,可能会导致错误的医学解释。
6.7在近几个月内接受过输血或其他血液制品治疗的人群,对其阳性检测结果的分析应慎重。
6.8部分ToRCH(如风疹病毒)特异性IgM抗体不仅出现于初次感染,当二次感染和复发感染时也可能出现。个别个体的ToRCH特异性IgM抗体,在初次感染较长时间后仍能检出,因此对特异性IgM抗体阳性在判断初次感染时间的解释中应慎重。
6.9当处于低流行率地区的无症状人群或已接种过特定ToRCH疫苗的个体检出ToRCH IgM阳性结果时,应警惕可能出现的假阳性结果。同时建议临床医生结合其症状/体征、病史、流行病学、其他实验室检查(如IgG抗体亲合力和病原学检测)进行判断。建议对申报试剂临床研究中的病例人群特征进行说明,并对适用人群的年龄、地域等特征进行明示。
6.10人血清中的异嗜性抗体可能与试剂中的免疫球蛋白结合干扰试验结果,对于经常接触动物或动物血清制品的人群,应警惕可能出现的异常干扰结果。
6.11接受过小鼠单克隆抗体治疗的患者样本中,可能含有人抗小鼠抗体(HAMA)。对于试剂盒组成成份中含有小鼠源性抗体的检测试剂,若待测样本中含有HAMA,会影响检测结果的准确性。
6.12体内存在的高浓度的链霉亲合素(亲合素)抗体和发光标志物抗体可能会影响检测结果。
6.13由于ToRCH IgG抗体亲合力成熟过程存在个体差异,个别个体在初次感染较长时间后仍呈现ToRCH IgG抗体低亲合力,因此不得将本试剂IgG抗体的低亲合力结果单独作为近期急性感染判断的依据。
7.【产品性能指标】 请依据研究资料详述各性能指标,应注意以下方面:
7.1最低检出限:说明试剂的最低检出浓度或滴度,简单介绍最低检出限的确定方法。
7.2分析特异性
7.2.1交叉反应:对易产生交叉反应的其他病原体的高水平抗体、高浓度ToRCH特异性IgG抗体等的验证情况。
7.2.2干扰物质:样本中常见干扰物质对检测结果的影响,如溶血、脂血、黄疸等干扰因子研究(结果应量化表示,禁用轻度、严重等模糊表述),有关高浓度总IgM和总IgG抗体、自身性免疫抗体(抗核抗体、类风湿因子)等的干扰验证。
7.3抗体滴度变化(适用于半定量和/或定量检测试剂)和诊断灵敏度:介绍血清转换盘的来源,将检测结果以图或表的形式列出。
8.【注意事项】应至少包括以下内容:有关试剂盒内人源组分(如有)生物安全性的警告。如:试剂盒内对照品(质控品)或其他可能含有人源物质的组分,虽已经通过了乙型肝炎病毒表面抗原(HBs-Ag)、人类免疫缺陷病毒1/2型抗体(HIV1/2-Ab)、丙型肝炎病毒抗体(HCV-Ab)等项目的检测,但截至目前,没有任何一项检测可以确保绝对安全,故仍应将这些组分作为潜在传染源对待。
(六)质量管理体系文件
申请人应当在申请注册时提交与产品研制、生产有关的质量管理体系相关资料。详述产品的生产过程,提供生产工艺流程图。明确申报产品反应及检测原理和过程,标明主要控制点与项目及主要原材料、采购件的来源及质量控制方法。
如适用,应当提供拟核查产品与既往已通过核查产品在生产条件、生产工艺等方面的对比说明。
三、参考文献
[1]国家市场监督管理总局.体外诊断试剂注册与备案管理办法:国家市场监督管理总局令第48号[Z].
[2]国家药品监督管理局.体外诊断试剂注册申报资料要求和批准证明文件格式:国家药品监督管理局2021年第122号公告[Z].
[3]国家药品监督管理局医疗器械技术审评中心.定性检测体外诊断试剂分析性能评估注册审查指导原则:国家药品监督管理局医疗器械技术审评中心2022年第36号通告[Z].
[4]国家药品监督管理局.体外诊断试剂临床试验技术指导原则:国家药品监督管理局2021年第72号通告[Z].
[5]Review Criteria for In Vitro Diagnostic Devices for Detection of IgM Antibodies to Viral Agents, CDRH FDA, USA February 27, 1997[Z].
[6]National Committee for Clinical Laboratory Standards. Specifications for immunological testing for infectious diseases; Approved guideline, LA18-A2, 2001[Z].
[7]王玉兰,吴建民.临床免疫学与检验(第4版)[M].北京:人民卫生出版社,2007.
[8]李卫.医疗器械临床试验统计方法(第一版)[M].北京:人民军医出版社,2012.
[9]陈敬贤.诊断病原体学(第一版)[M].北京:人民卫生出版社,2008.
[10]冯仁丰.临床检验质量管理技术基础(第二版)[M].上海:上海科学技术文献出版社,2007.
[11]Class II Special Controls Guidance Document: Herpes Simplex Virus Types 1 and 2 Serological Assays, CDRH FDA, August 9, 2011[Z].
[12]National Committee for Clinical Laboratory Standards. Clinical use and interpretation of serologic tests for toxoplasma gondii; Approved guideline, M36-A, 2004[Z].
[13]焦奎,张书圣.酶联免疫分析技术及应用(第一版)[M].北京:化学工业出版社,2004.
[14]国家药品监督管理局.免于临床试验的体外诊断试剂临床评价技术指导原则:国家药品监督管理局2021年第74号通告[Z].
[15]EP17-A2:Evaluation of Detection Capability for Clinical Laboratory Measurement Procedures; Approved Guideline-Second Edition [Z].
[16]EP34:Establishing and Verifying an Extended Measuring Interval Through Specimen Dilution and Spiking [Z].
站点声明:
本网站所提供的信息仅供参考之用,并不代表本网赞同其观点,也不代表本网对其真实性负责。图片版权归原作者所有,如有侵权请联系我们,我们立刻删除。如有关于作品内容、版权或其它问题请于作品发表后的30日内与本站联系,本网将迅速给您回应并做相关处理。
北京飞速度医疗科技有限公司专注于医疗器械、诊断试剂产品政策与法规规事务服务,提供产品注册申报代理、临床合同(CRO)研究、产品研发、GMP质量辅导等方面的技术外包服务。